EasyManua.ls Logo

Panasonic CS-E15DB4EW - 13 Technical Data; Operation Characteristics; Cs-E15 Db4 Ew Cu-E15 Dbe

Panasonic CS-E15DB4EW
98 pages
Print Icon
To Next Page IconTo Next Page
To Next Page IconTo Next Page
To Previous Page IconTo Previous Page
To Previous Page IconTo Previous Page
Loading...
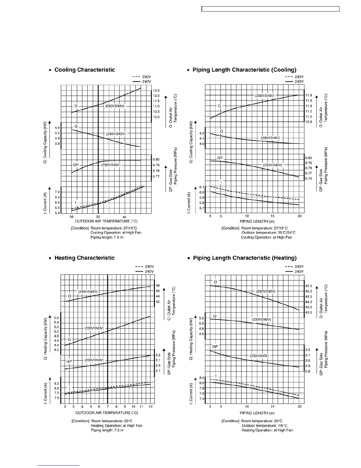
13 Technical Data
13.1. Operation Characteristics
13.1.1. CS-E15DB4EW CU-E15DBE
75
CS-E15DB4EW CU-E15DBE / CS-E18DB4EW CU-E18DBE / CS-E21DB4ES CU-E21DBE

Table of Contents

Related product manuals