EasyManua.ls Logo

Panasonic CU-NE9NKE - Page 100

Panasonic CU-NE9NKE
117 pages
Print Icon
To Next Page IconTo Next Page
To Next Page IconTo Next Page
To Previous Page IconTo Previous Page
To Previous Page IconTo Previous Page
Loading...
100
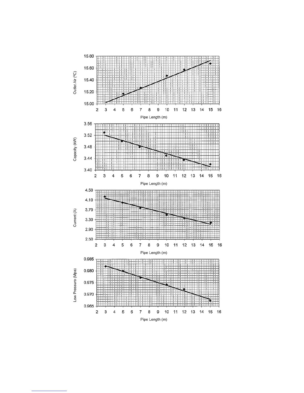
Piping Length Characteristic
[Condition] Indoor temperature: 27/19°C, 35/-°C
Remote condition: High fan speed, Cool 16°C
Comp. Hz: Rated Fc
Voltage: 230V

Table of Contents