EasyManua.ls Logo

Panasonic CU-NE9NKE - Page 99

Panasonic CU-NE9NKE
117 pages
Print Icon
To Next Page IconTo Next Page
To Next Page IconTo Next Page
To Previous Page IconTo Previous Page
To Previous Page IconTo Previous Page
Loading...
99
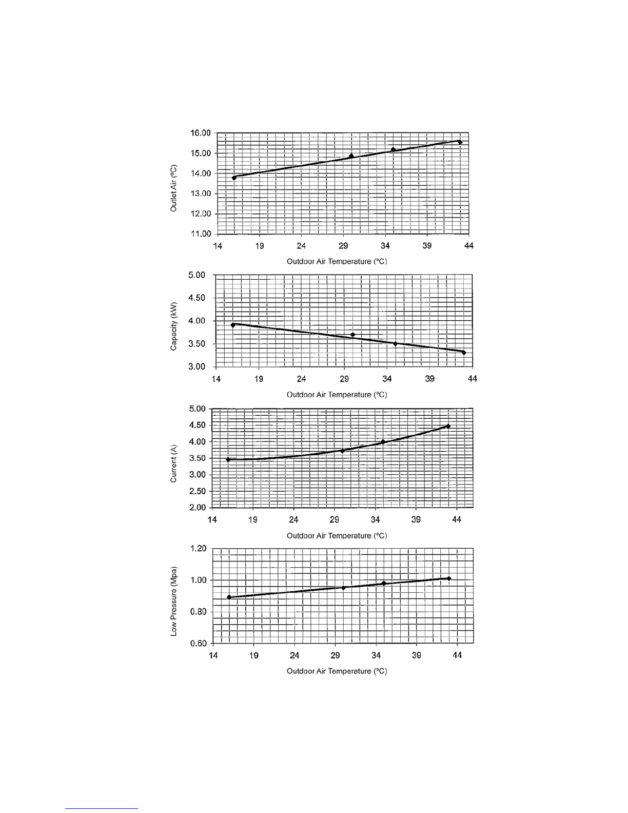
17.1.2 CU-NE12NKE CU-QE12NKE
Cooling Characteristic
[Condition] Indoor temperature: 27/19°C
Remote condition: High fan speed, Cool 16°C
Comp. Hz: Rated Fc
Voltage: 230V

Table of Contents

Related product manuals