EasyManua.ls Logo

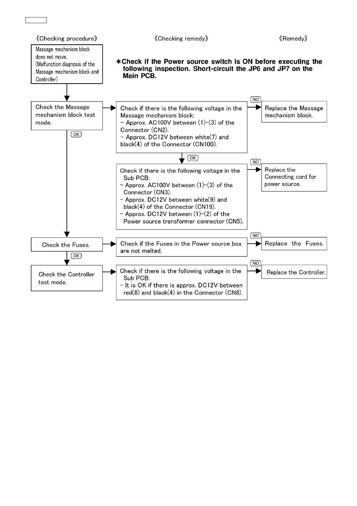
Panasonic EP-MA70 - Massage mechanism block does not move (Malfunction diagnosis); Check the Fuses

Panasonic EP-MA70
82 pages
Print Icon
To Next Page IconTo Next Page
To Next Page IconTo Next Page
To Previous Page IconTo Previous Page
To Previous Page IconTo Previous Page
Loading...
EP-MA70
ORDER NO. HPD1102U24CE
- 45 -

Table of Contents

Other manuals for Panasonic EP-MA70

Related product manuals