EasyManua.ls Logo

ParaBody PBF501 - Step #3 Assembly Instructions; Weight Stack Bumpers and Guide Rod Installation; Caution: Guide Rod Tightening

ParaBody PBF501
25 pages
Print Icon
To Next Page IconTo Next Page
To Next Page IconTo Next Page
To Previous Page IconTo Previous Page
To Previous Page IconTo Previous Page
Loading...
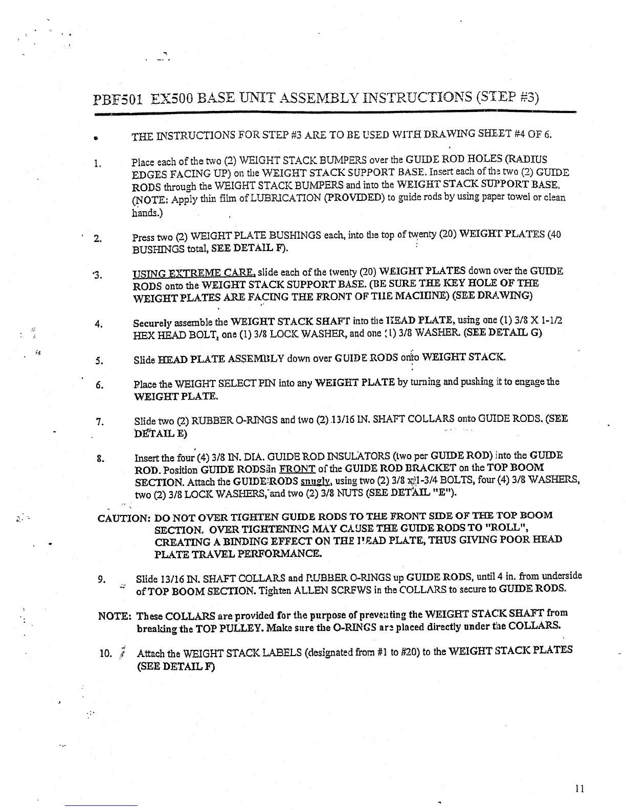
PBFS0t EXS00 BASE UNIT ASSEMBLY INSTRUCTIONS (S~fEP #3)
THE INSTRUCTIONS FOR STEP #,’3 ARE TO BE USED WITH DRAWING SHLET #4 OF 6.
Place each of the two (2) WEIGHT STACK BUMPERS over the GUIDE ROD HOLES (RADIUS
EDGES FACING UP) on the WEIGHT STACK SUPPORT BASE. Insert each of the two (2) GUIDE
RODS through the WEIGHT STACK BUMPERS and into the WEIGHT STACK SUPPOP.T BASE.
(NOTE: Apply thin film of LUBRICATION (PROVIDED) to guide rods by using paper towel or clean
hands.)
Press two (2) WEIGHT PLATE BUSHINGS each, into the top of tv~.enty (20) WEIGH’F PLATES
BUSHINGS total, SEE DETAIL F).
:
’3.
_USING EXTREME CARE, slide each of the twenty (20) WEIGHT PLATES down over the GUIDE
RODS onto the WEIGHT STACK SUPPORT BASE. (BE SURE THE KEY HOLE OF THE
WEIGHT PLATES ARE FACING THE FRONT OF TIIE MACIL1NE) (SEE DtL4.,WING)
Securely assemble the WEIGHT STACK SHAFT into fire IIEAD PLATE, using one (I) 3/8 X I-I/2
HEX HEAD BOLT, one (1) 3/8 LOCK WASHER, and one ’, 1) 3/8 WASHER. (SEE; DETAJ3L
Slide HEAD PLATE ASSEMBLY down over GUIDE RODS o~i’o WEIGHT STACK.
Place the WEIGHT SELECT PIN into any WEIGHT PLATE by turning and pushing :it to engage the
WEIGHT PLATE.
7. Slide two (2) RUBBER O-RINGS and two (2).13/16 IN. SHAFT COLLARS onto GUIDE RODS.
Dt~TALL E) ......
8.
Insert the four’ (4) 3/8 IN. DIA. GUIDE ROD INSULATORS (two per GUIDE ROD) into the GUIDE
ROD. Position GUIDE RODS:~n FRONT ofthe GUIDE ROD BRACKET on the TOP BOOM
SECTION. Attach the GUIDE:RODS snu~y, using two (2) 318 x?.’.’.]-314 BOLTS, fcmr (4) 3/11 WASHEP~S,
two (2) 3/8 LOCI< WASHERS,’mnd two (2) 3/8 NUTS (SEE DETXIL
CAUTION: DO NOT OVER TIGHTEN GUIDE RODS TO THE FRONT SiDE OF THE ’FOP BOOM
SECTION. OVER TIGHTENING MAY C.~.USE TI-IE GUIDE RODS TO "ROLL",
CREATING A BINDING EFFECT ON THE P~AD PLATE, THUS GlarING POOR HEAD
PLATE TP~4~VEL PERFORMANCE.
JJ
Slide 13/16 IN. SHAFT COLLAR.S and RUBBER O-RINGS up GUIDE RODS, until 4 in. from underside
of TOP BOOM SECTION. Tighten ALLEN SCRFWS in the COLLARS to secure to GUIDE RODS.
NOTE:
10. ,~¢
These COLLARS are provided for the purpose of preventing the WEIGHT STACK SHAF’r from
brealdng the TOP PULLEY. Make sure the O-RINGS at.- placed directly under t]ae COLLARS.
Attach the WEIGHT STACK LABELS (designated from #l to #20) to the WEIGHT STACK PLATES
(SEE DETAIL 19
II

Related product manuals