EasyManua.ls Logo

Paton MINI - Anti-Stick Function; Care and Maintenance

Paton MINI
20 pages
Print Icon
To Next Page IconTo Next Page
To Next Page IconTo Next Page
To Previous Page IconTo Previous Page
To Previous Page IconTo Previous Page
Loading...
- 11 - PATON ECO DC MMA
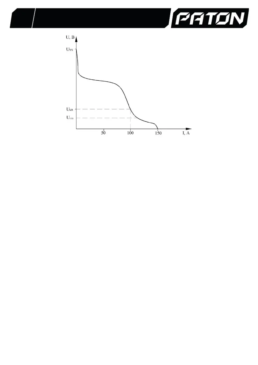
Fig. 4. “ARC-FORCE” function
3.3 “ANTI-STICK” FUNCTION
During the initial arc striking, the electrode can stick, tack to the workpiece, which
in turn can lead to overheating and incandescence, and subsequently to the electrode
damage.
If the electrode sticks to the workpiece, the unit decreases the welding current after
0.6 ... 0.8 sec. This makes it easier for the welder to separate (detach) the electrode from the
workpiece without the risk of scalding the eyes by accidentally striking the arc. After the
electrode is detached from the workpiece, the welding process can be continued
unobstructed.
4. CARE AND MAINTENANCE
CAUTION! Before opening the unit, be sure to turn it off, remove the mains plug.
Allow the internal circuits of the unit to discharge (about 5 minutes), and only then
proceed to other actions. When leaving, install a sign prohibiting to start the unit.
In order to keep the unit operational for many years, be sure to follow several rules:
- carry out a safety inspection at specified intervals (see Section "Safety rules");
- with intensive use, we recommend that you blow the unit with dry compressed air
every six months. Caution! Blowing from a short distance can result in damage to
the electronic components;
- if there is a lot of dust, clean the cooling system ducts manually.

Related product manuals