EasyManua.ls Logo

Paul CLIMOS F 200 Basic - Error Supply Air too Low

Default Icon
70 pages
Print Icon
To Next Page IconTo Next Page
To Next Page IconTo Next Page
To Previous Page IconTo Previous Page
To Previous Page IconTo Previous Page
Loading...
Error handling
63
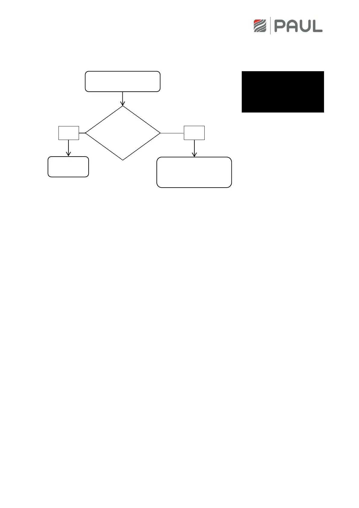
11.7 Error supply air too low
Check
position
DIP switch S2-1
O.K.?
Error supply air
too low
WARNING!
Do not touch the board
for under 230 V power
supply live components!
No
Change
DIP switch
Check temperature
sensors T2/T4
(see temperature sensor)
Yes

Related product manuals