EasyManua.ls Logo

Philips BDP3200/51 - 5.3 Remote Control Malfunction

Philips BDP3200/51
32 pages
Print Icon
To Next Page IconTo Next Page
To Next Page IconTo Next Page
To Previous Page IconTo Previous Page
To Previous Page IconTo Previous Page
Loading...
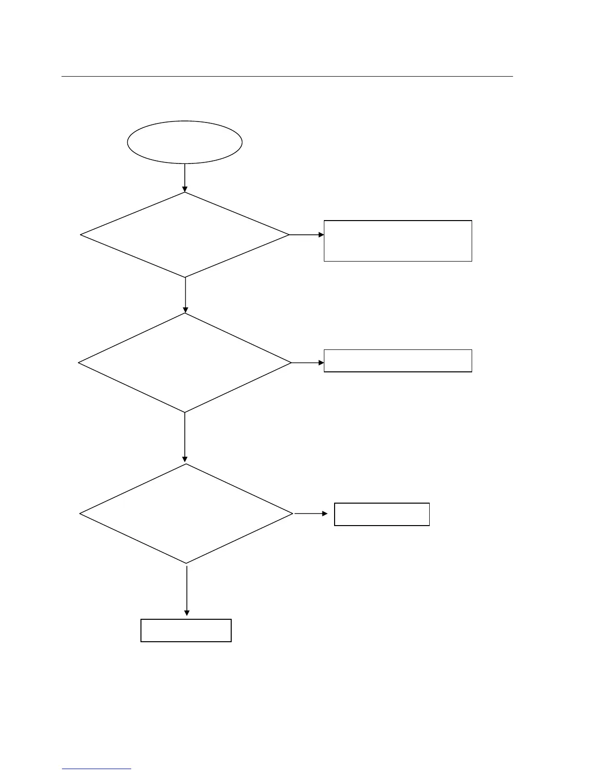
Remote control does not work
Go
Yes
Yes
Remote control
does not work
NO
Replace the battery for remote
controller
Check whether the remote
controller’s battery is
exhausted or not.
Check the Power supply board part
Replace IR1
NO
Trouble shooting chart
5-3
Check the IR1 power supply is OK
Check the connection J2 on front board
and J502 on main board is broken
Yes
Fix the connection
NO
Yes