EasyManua.ls Logo

Philips BDP3200/51 - 5.2 Audio Output Problems

Philips BDP3200/51
32 pages
Print Icon
To Next Page IconTo Next Page
To Next Page IconTo Next Page
To Previous Page IconTo Previous Page
To Previous Page IconTo Previous Page
Loading...
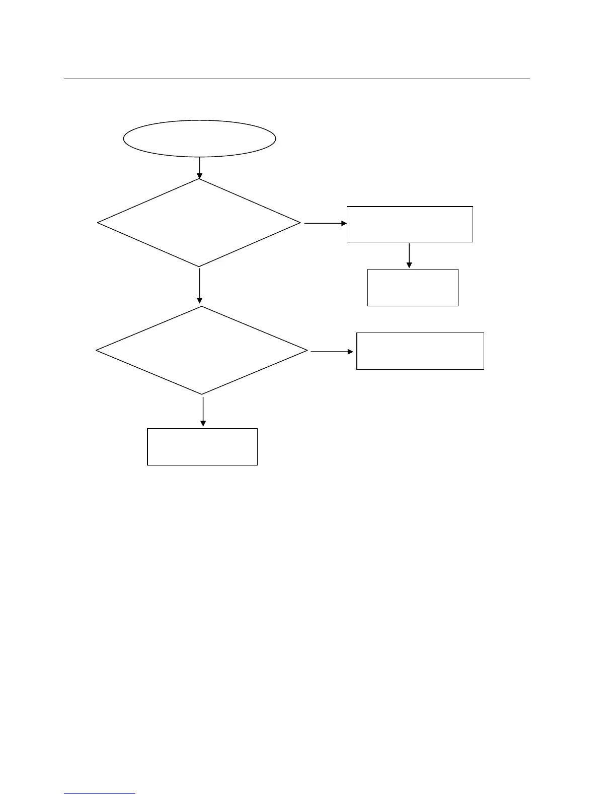
No audio output
Check whether the audio
signal is right from the
U1's pin 8, 9
Correct connection
Yes
Go
No audio output
No
Trouble shooting chart
5-2
exists on pins of J7
Check whether bad solder
Replace the J7
No
Yes
Check the U1 power supply
(U1.1= +3.3V and U1.11= +5V)
Yes
Replace the U1

Related product manuals