EasyManua.ls Logo

Philips BDP3200/51 - Troubleshooting and Service Modes; 5.1 VFD Display and Button Issues

Philips BDP3200/51
32 pages
Print Icon
To Next Page IconTo Next Page
To Next Page IconTo Next Page
To Previous Page IconTo Previous Page
To Previous Page IconTo Previous Page
Loading...
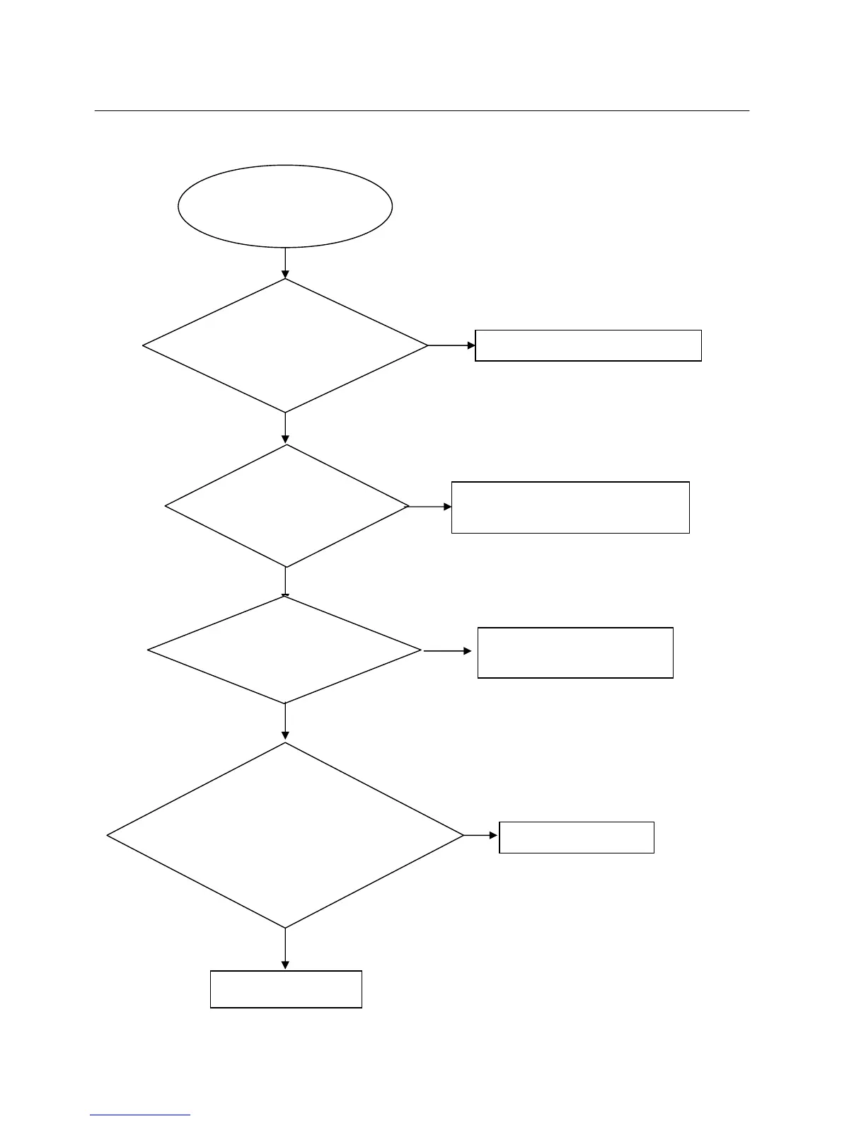
No display on VFD, and buttons do not work
No
No
No
Yes
Yes
No display on VFD, and
buttons do not work
Check every supply
voltage on main board is
normal
Refer to Power supply board part
Correct connection
Replace VU1 or VFD
Yes
Go
Yes
No
Check +5V,+12V,-24V
voltage on the power
and front board
SG,GR on the front board
1.Check whether bad solder exists
on VU1 and pins of VFD
2.Check whether the circuit
connected to K1, K2, K3, K4 is
broken.
Fix the connection J3 on front board
and CN4 on power board
Trouble shooting chart
5-1
Check the signals of the VU1's
Check the VU1 power supply
(VU1.38= +5V and VU1.27= -24V)

Related product manuals