EasyManua.ls Logo

QUAD 66 - Installation and Setup

QUAD 66
16 pages
Print Icon
To Next Page IconTo Next Page
To Next Page IconTo Next Page
To Previous Page IconTo Previous Page
To Previous Page IconTo Previous Page
Loading...
ACCESSORIES SUPPLIED
INSTALLATION
AC supply lead
0.5m
long
Signal
lead
0.5m
long
Coaxial aerial
plug
(75O)
Balun transformer
(75Q
-
300Ct)
Type
No.
QSPESSB
Type
No.
QP2P2SA
Type
No. PPL734A
Type No. PP602BC
(optional
for
some overseas markets)
Ghecking
the AG
Power Supply
Connecting
to the
AC Power Supply
Note
AC
Power
Out
The rating
plate
on the back
of
your
tuner shows the AC
supply voltage for which
it is
set. lf
your
AC
supply
is
different f rom
that shown, ask
your
dealer
to
change
the voltage
setting for
you.
The tuner is
supplied with
a 0.5m
long
AC
supply
lead
already fitted with
standard
3-pin
Euro
connectors for
connection
between the
66
FM tuner AC
power
in and the AC
power
ouf
socket
fitted
on
the
back of current
Quad
equipment. For
connection to
other equipment,
or direct to the mains
supply,
your
dealer can supply
a
longer
lead to which
a suitable
plug
should be fitted,
as explained below:-
WARNING:
THIS APPARATUS
MUST
BE EARTHED
IMPORTANT
-
Fitting
a mains
plug.
The
wires in
the mains lead
are coloured:
Brown
=
Live
Blue
=
Neutral
GreenMellow
=
Earth
The Brown
wire must
be connected
to the terminal marked
L
or coloured Red.
The Blue wire
must be
connected to the
terminal marked N
or coloured Black.
The
GreenfYellow wire
must
be connected
to the terminal marked
E or
coloured
Green or
Green/Yellow.
The
tuner must
be
protected
by a 3A
fuse
when
a 13A
plug
is
used, or if another
type of
plug
is
used, by
a 5A fuse
either in the
plug
or adaptor,
or at the
distribution board. lf in
doubt
consult a
qualified
electrician.
The
tuner is fitted with
an unswitched AC
power
out socket for feeding
other
units in the
system. The
Quad
66
CD
player
and
Quad
power
amplifiers
are
provided
with
the appropriate
interconnecting
cables.
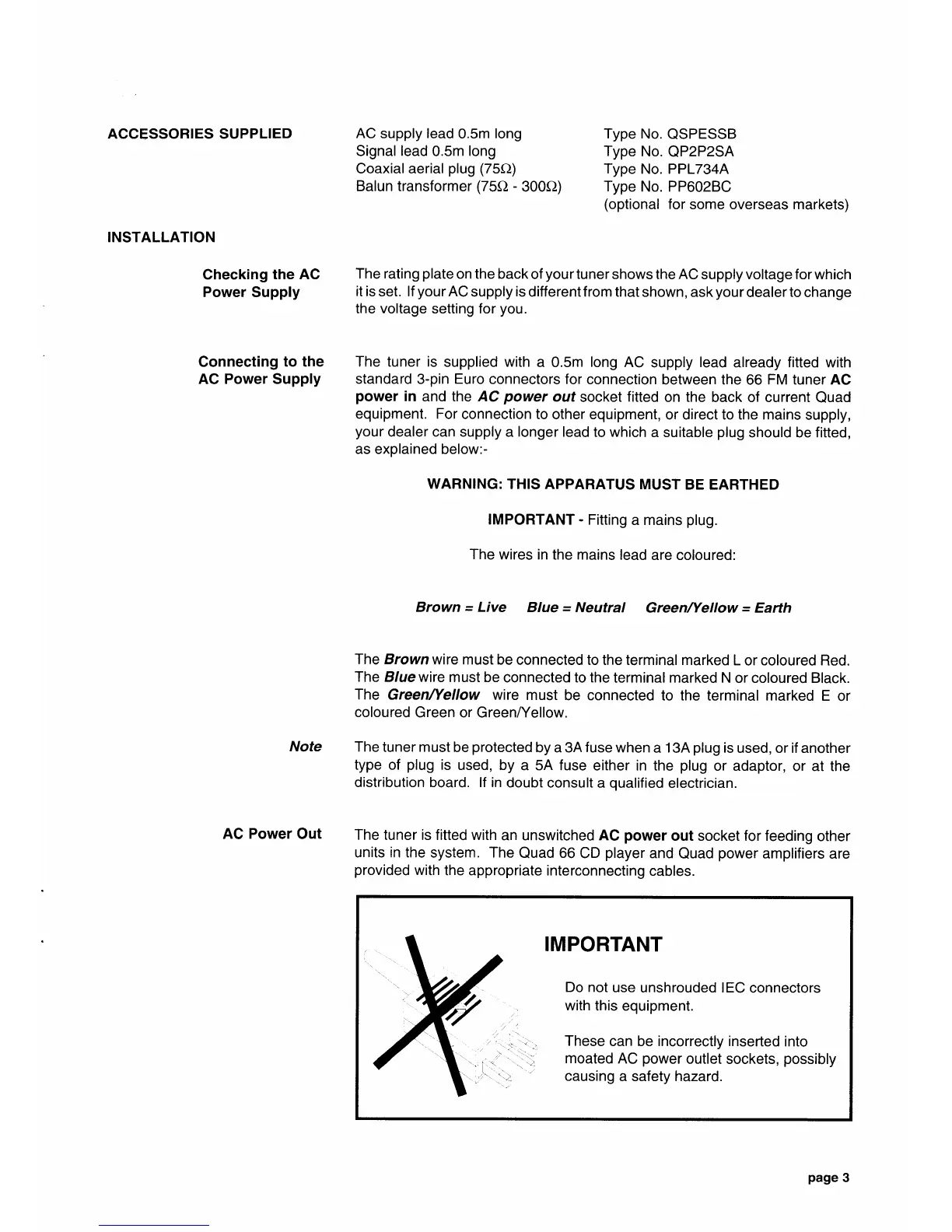
IMPORTANT
Do not
use
unshrouded IEC
connectors
with
this equipment.
These
can be incorrectly inserted
into
moated
AC
power
outlet
sockets,
possibly
causing
a safety hazard.
page
3

Other manuals for QUAD 66

Related product manuals