EasyManua.ls Logo

Ralco MTR 221/A - VISUAL X-RAY VS LIGHT FIELD DEFINITION; LIGHT FIELD ILLUMINATION INTENSITY

Ralco MTR 221/A
66 pages
Print Icon
To Next Page IconTo Next Page
To Next Page IconTo Next Page
To Previous Page IconTo Previous Page
To Previous Page IconTo Previous Page
Loading...
MTR221/A - MTR221/A DHHS
MANUALE ISTRUZIONI / INSTRUCTION MANUAL
Modello/Model R221/A - R221/A DHHS
COMPLIANCE VERIFICATION
24
R221/A - R221/A DHHS - Compliance Verification
Ralco srl
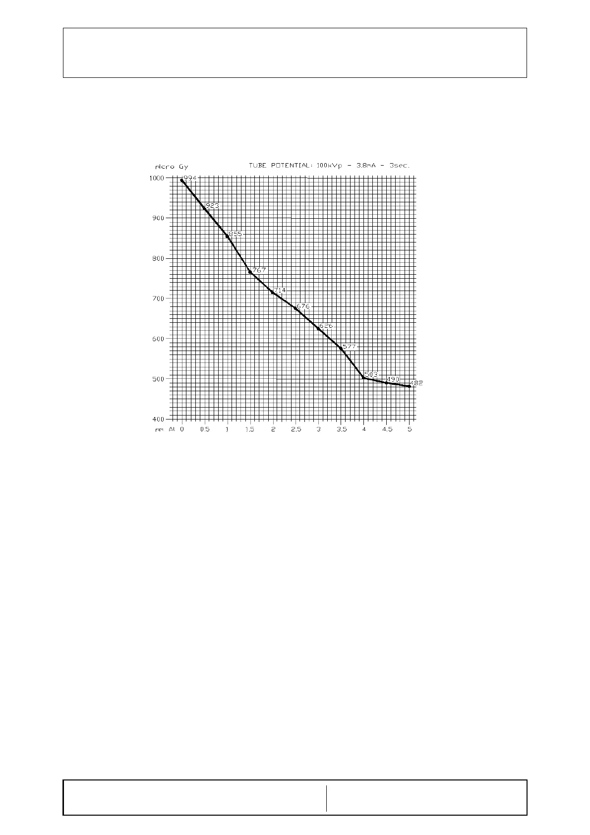
c) Plot the exposure readings (log scale) versus the total added filtration thickness on semi-log
paper; see the sample hereunder.
d) Verify that HLV values in the useful beam for the above specific tube potential is not less
than the values shown in Table - Minimum Filtration Requirement - Beam Quality (HVL).
VISUAL DEFINITION OF X-RAY VERSUS LIGHT FIELD
Chapter - COLLIMATOR CALIBRATION - paragraph - Light-Field to X-ray Field Alignment.
FIELD SIZE INDICATION
Chapter- ADJUSTMENTS, paragraph Field Size Indication.
CROSSHAIR ALIGNMENT
CHAPTER- ADJUSTMENTS, PARAGRAPH CROSSHAIR ALIGNMENT.
LIGHT FIELD ILLUMINATION INTENSITY
a) When a light field simulating the X-Ray field is used the illumination provided at 100 cm.
cannot be less than: 160 lux [(21 CFR 1020.31 (d) (2) (ii)].
b) Place the Focus of the X-Ray tube at 100 cm. from the table top were the light field as been
projected. Open the collimator's shutters to assure that each quadrant of the light field is
larger than the measuring area of the photometer.
c) Check that the voltage specified by the manufacturer is applied to the lamp, make certain
that all surfaces in the light beam are clean and unobstructed.
d) Place a photometer capable of reading up to 160 lux in the centre of each of the four
quadrants of the light field.
generale\12_verif_conf_graph.gif

Table of Contents

Related product manuals