EasyManua.ls Logo

Realistic TRC-449 - Diode Specifications (Continued)

Realistic TRC-449
46 pages
Print Icon
To Next Page IconTo Next Page
To Next Page IconTo Next Page
To Previous Page IconTo Previous Page
To Previous Page IconTo Previous Page
Loading...
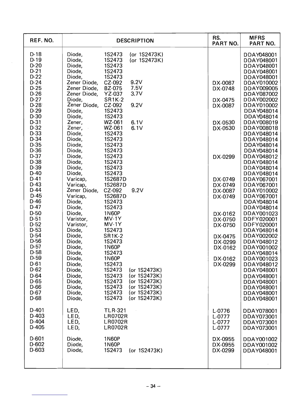
REF. NO.
DESCRIPTION
RS.
MFRS
PART NO. PART NO.
D-18
Diode,
152473 (or 152473K)
DDAYU48001
D-19 Diode,
152473
(or 152473K)
DDAY048001
D-20
Diode,
152473
DDAY048001
D-21
Diode,
152473
DDAY048001
D-22
Diode,
152473
DDAY048001
D-24 Zener Diode,
CZ-092
9.2V
DX-0087
DDAY010002
D-25 Zener 0 iode,
8Z-075
7.5V
DX-0748 ODAY009005
D-26 Zener Diode,
YZ-037
3.7V
DDAY087002
D-27 Diode,
5R1
K-2
DX-0475
DOAY002002
0-28'
Zener Diode,
CZ-092 9.2V
OX-0087
00AY010002
0-29 Diode,
152473
ODAY048014
D-30 Diode,
152473
DDAY048014
D-31
Zener,
WZ-061
6.1V
OX-0530 DOAY008019
D-32 Zener,
WZ-061
6.1V
DX-0530
DDAY008018
D-33 Diode,
152473
DDAY048014
D-34
Diode,
152473
DDAY048014
0-35
Diode,
152473
DDAY048014
D-36
Diode,
152473
DDAY048014
D-37
Diode,
152473
DX-0299
DDAY048012
D-38 Diode,
152473
DDAY048014
D-39 Diode,
152473
DDAY048014
D-40
Diode,
152473
DDAY048014
D-
41
Varicap,
152687D
DX-0749
DDAY067001
D-43
Varicap,
152687D
DX-0749
ODAY067001
D-44
Zener Diode,
CZ-092
9.2V
DX-0087
DDAY010002
D-45
Varicap,
152687D
DX-0749
DOAY067001
D-46
Diode,
152473
DDAY048014
D-47
Diode,
1S2473
DDAY048014
D-50
Diode, 1N60P
DX-0162
DOAY001023
D-51
Varistor,
MV-1Y
OX-0750
DOFY020001
D-52
Varistor,
MV-1Y
DX-0750
DDFY020001
D-53 Diode,
152473
DDAY048014
D-54
Diode,
5R1 K-2
DX-0475
DDAY002002
D-56
Diode,
152473
DX-0299
DDAY048012
D-57
Diode,
1N60P
DX-0162
DDAY001002
D-58
Diode,
152473
00AY048014
0-59
Diode,
1N60P
DX-0162 DDAY001023
D-61
Diode, 152473
DX-0299
DDAY048012
D-62
Diode, 152473
(or 152473K)
DDAY048001
. D-64
Diode,
152473 (or 152473K)
DDAY048001
0-65 Diode,
152473
(or 152473K)
DDAY048001
D-66 Diode,
152473 (or 152473K)
DDAY048001
D-67
Diode,
1S2473 (or 152473K)
DDAY048001
D-68
Diode,
152473 (or 152473K)
DDAY048001
D-401
LED,
TLR-321
L-0776
DDAY078001
D-403
LED,
LR0702R
L-0777
DDAY073001
D-404
LED,
LR0702R
L-0777
ODAY073001
D-405
LED,
LR0702R
L-0777
DDAY073001
0-601
Diode,
1N60P
OX-0955
00AY001002
0-602
Diode,
1N60P
OX-0955
DDAY001002
D-603
Diode,
152473
(or 1S2473K)
DX-0299
DDAY048001
-34-

Other manuals for Realistic TRC-449

Related product manuals