EasyManua.ls Logo

SCHUNK MEG 50 EC - Gripping Force - Specification

Default Icon
44 pages
Print Icon
To Next Page IconTo Next Page
To Next Page IconTo Next Page
To Previous Page IconTo Previous Page
To Previous Page IconTo Previous Page
Loading...
Start-up
32
03.00 | MEG 50 EC | Assembly and Operating Manual | en | 389201
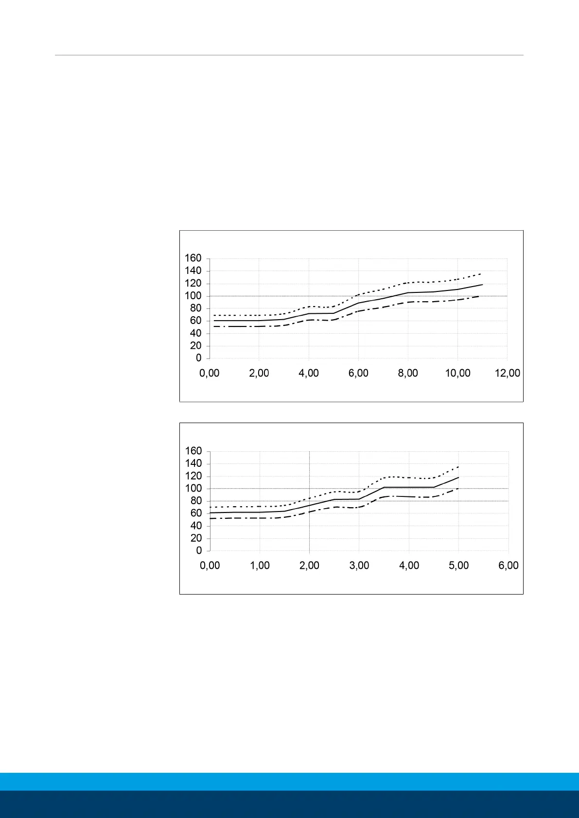
5.7.3 Gripping force - specification
For system-related reasons (e.g. friction in the gripper and torque
fluctuations), fluctuations of ± 15% are possible when setting the
force. To set the gripping force approximately, it suffices to set the
gripping force via the "Force" potentiometer (P1) or the external
input "Force" (terminal 24).
The following two illustrations show the relationship between the
gripping force and the input voltage of the external input
"Force" (terminal 24) or the "Force" potentiometer
(potentiometer P1) for finger length P=25mm.
Gripping force preset = f[input voltage] via external input
Input voltage in V
Travel
in mm
Gripping force when the analog voltage is specified on (terminal 24)
Gripping force preset = f[input voltage] via potentiometer
Force in N
Input voltage in V
Gripping force when the analog voltage is specified via potentiometer "Force" (P1)
(* Gripping force is the arithmetical sum of the individual forces
acting on the gripper jaws at a distance of P=25mm)

Table of Contents

Related product manuals