EasyManua.ls Logo

Sel SEL-487B - Substation Battery Monitor

Sel SEL-487B
32 pages
Print Icon
To Next Page IconTo Next Page
To Next Page IconTo Next Page
To Previous Page IconTo Previous Page
To Previous Page IconTo Previous Page
Loading...
SEL-487B Data Sheet Schweitzer Engineering Laboratories, Inc.
20
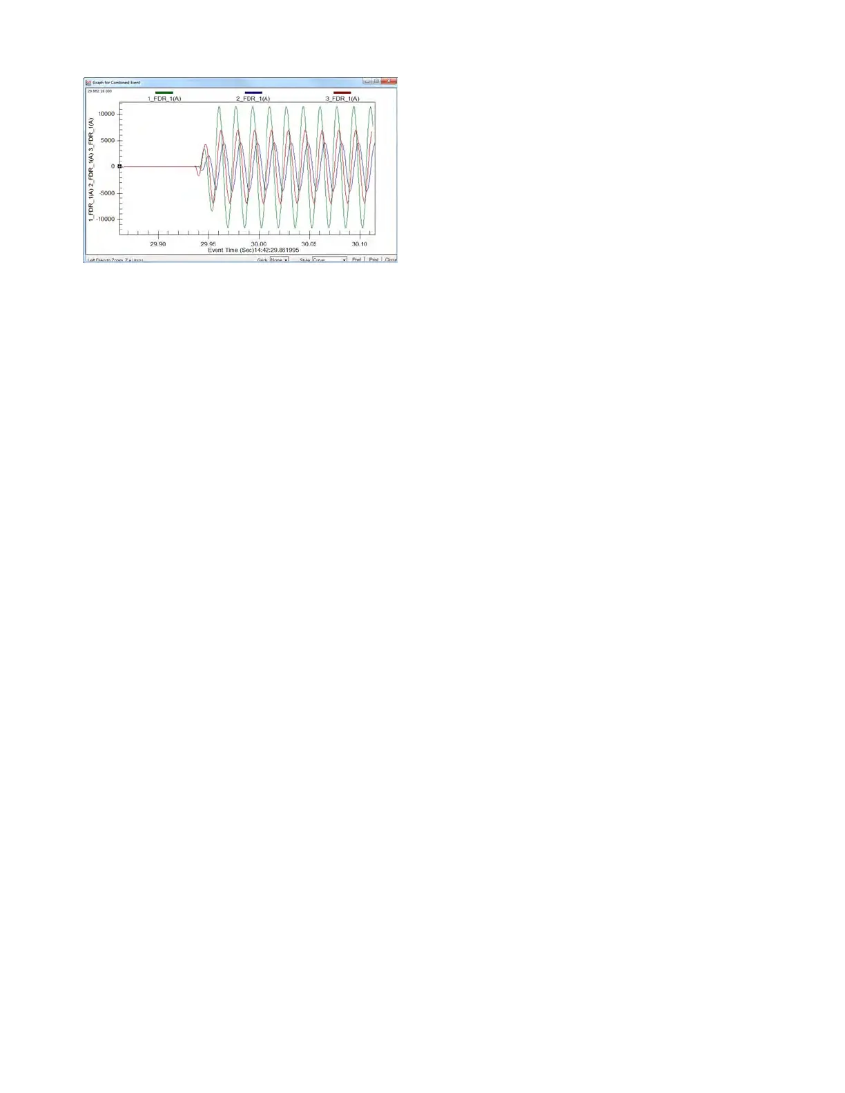
Figure 31 Information From Three Relays Combined
Into a Single Window
Event Summary
Each time the relay generates a standard event report, it
also generates a corresponding Event Summary. This is a
concise description of an event that includes the follow-
ing information:
Relay/terminal identification
Event date and time
Event type
Event number
Time source
Active settings group
Targets asserted during the fault
Current magnitudes and angles for each terminal
Voltage magnitudes and angles
Terminals tripped for this fault
Bus-zones in Protection Zone n (n = 1–6)
With an appropriate setting, the relay will send an Event
Summary in ASCII text automatically to one or more
serial ports for each triggering of an event report.
Sequential Events Recorder (SER)
Use this feature to gain a broad perspective of relay ele-
ment operation. Items that trigger an SER entry are
selectable and can include as many as 250 monitoring
points such as input/output change of state and element
pickup/dropout. The relay SER stores the latest 1000
events.
Substation Battery Monitor for
DC Quality Assurance
The SEL-487B measures and reports the substation bat-
tery voltage for one battery system. The relay provides
alarm, control, and dual ground detection for one battery
and charger. The battery monitor includes warning and
alarm thresholds that you can monitor with the
SEL-3530 Real-Time Automation Controller (RTAC)
and use to trigger messages, telephone calls, or other
actions. The relay reports measured dc voltage in the
METER display via serial or Ethernet port communica-
tions, on the LCD, and in the Event Report. Use the event
report data to see an oscillographic display of the battery
voltage. Monitor the substation battery voltage drops
during trip, close, and other control operations.

Related product manuals