EasyManua.ls Logo

Sharp FO-71 /51/11 - Page 13

Sharp FO-71 /51/11
50 pages
Print Icon
To Next Page IconTo Next Page
To Next Page IconTo Next Page
To Previous Page IconTo Previous Page
To Previous Page IconTo Previous Page
Loading...
FO-71TH/UX-61TH/GQ-56TH/FO-51TH
UX-41TH/GQ-31TH/UX-21TH/FO-11TH/GQ-11TH
3. Diagnostic items description
3. 1. Soft switch mode
The soft switches are provided so that each operation mode can be set
by using the operation panel.
In this mode, these switches can be checked and set.
The contents of these switches are backed up.
The available soft switches are SW-A1 to SW-K1.
The content of soft switches is shown in page 2-5 to 2-17.
The contents are set to factory default settings.
3. 2. ROM & RAM check
ROM executes the sum check, and RAM executes the matching test.
The result will be notified with the number of short sounds of the buzzer
as well as by printing the ROM & RAM check list.
Number of short sounds of buzzer 0 No error
1 ROM error
2 RAM error (4 Kbytes SRAM
or 512 Kbyts
DRAM)
3. 3. Aging mode
If any document is first present, copying will be executed sheet by sheet.
If no document is present, the check pattern will be printed sheet by
sheet. This operation will be executed at a rate of one sheet per 5min-
utes, and will be ended at a total of 10 sheets.
3. 4. Panel check mode
This mode is used to check whether each key operates properly or not.
Press the key on the operation panel, and the key will be displayed on
the display. Therefore, press all keys. At this time,finally press the STOP
key.
When the STOP key is pressed, the keys which are not judged as
"pressed" will be printed on the result list.
LED part of the contact image sensor (CIS) is kept on during the term
from when "START" of the panel test mode to end with the STOP key.
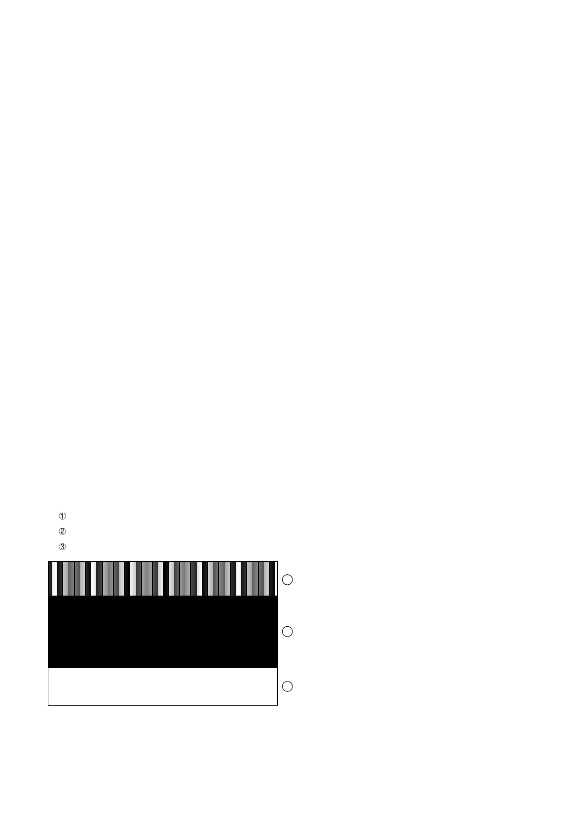
3. 5. Check pattern
This mode is used to check the status of print head. Two sheets of check
pattern are printed. The following information of check pattern is printed.
1
Vertical stripes (alternate white and black lines) Approx. 35 mm
2
Full black Approx. 70 mm
3
Full white Approx. 35 mm
3. 6. Signal send mode
This mode is used to send various signals to the circuit during FAX com-
munication. Every push of START key sends a signal in the following
sequence. Moreover, the signal sound is also output to the speaker when
the line monitor of the soft switch is on.
[1] No signal (CML signal turned on)
[2] 9600bps
[3] 7200bps
[4] 4800bps
[5] 2400bps
[6] 300bps (FLAG)
[7] 2100Hz (CED)
[8] 1100Hz (CNG)
[9] Pseudo Ring (models with auto TEL/FAX changeover function)
[10] END
3. 7. Memory clear
This mode is used to clear the backup memory and reset to the default
settings.
3. 8. Shading mode
The mode is used for the shading compensation. For reading, set up the
special original paper.
The compensation memorizes the reference data of white and black for
reading.
Moreover, the memorized data is not erased even if memory clear mode
is executed.
3. 9. All black print
This mode is used to check the state of the printing head and inten-
tionally overheat it. Whole dots are printed over the interval of 2 m. If it is
overheated or the printing sheet is jammed, press STOP key for the end.
3. 10. Auto feeder mode
In this mode, a document is inserted and discharged to check the auto
feed function.
After this mode is started, set a document, and the document feed will
be automatically tested.
3. 11. Entry data send
This mode is used to send the registered data to the other machine and
make the other machine copy the registered content. Before sending in
this mode, it is necessary to set the other machine at the entry data
receive mode.
The contents to be sent are as follows (the machine prints each list after
the transmission has completed):
1. Telephone list data
2. Sender (cover sheet) register data
3. Optional setting content
4. Soft switch content
5. Junk fax number list
6. Timer reservation data (only on the model which timer reservation
is possible)
7. Passcord No. (only for the type with polling function)
2 3
1
2
3
RANK 0 or 1
Note:
There is a selection RANK 0 or 1 depending on resistance value of the
thermal head. RANK 0 or RANK 1 is printed at the tail of check pattern
to identify.

Related product manuals