EasyManua.ls Logo

Sharp SF-7700 - Page 98

Sharp SF-7700
98 pages
Print Icon
To Previous Page IconTo Previous Page
To Previous Page IconTo Previous Page
Loading...
.-.
SF-77W
SF-77m
I
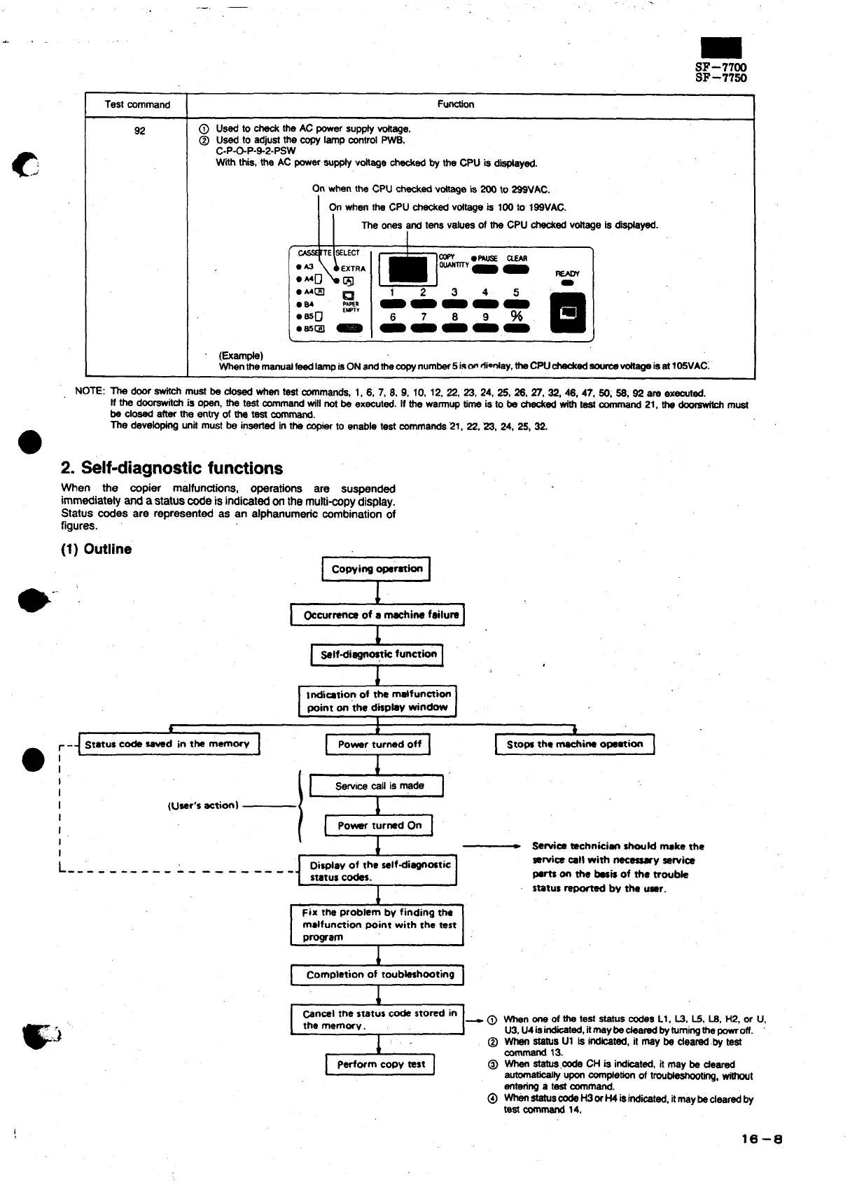
Testmmmand
I
92
F@on
@ Usedto_ theACpowersum vofrage.
@ Usedtoadjusth ~ lampmntd ~.
C-P-GP-%2-PSW
Withthis,theACpowersupptyvokagetided byWeCPUisdi@ayad.
OnwhentheCPU~kad voltageis200to299VAC.
OnwhentheCPUdr~sd voltageis 100to IWVAC.
Theonas~ tensvaluesoftheCPUdteoksdv~age isd~yed.
(aam*)
Whanthemanudfsad lampisONandthe%num&5 i~WfiiE~ay,-CPU~ ~
vottagaisefIWVAC1
i
salfdegnostb function
,
NOTE:?hadoor- mustbedosedwhenteatwmantts, 1, 6, 7, 8, 9, 10,12,22,23, 24, 25, 26,27,32,46,47, 60, 66, 92 areex-ted.
Ifthedmrewkchisopen,thetestremand willnotbeex~utad.Ifthewarmuptimeh to,bedr~sd ~ teat
bed- aftertheent~ oftheteatamend.
~ 21,the~ must
W devem unit muti beinsertedinH _ toenabletestwmmanda21, 22,~, 24, 25,32.
2. Self-diagnostic functions
When the mpiar malfundions, operations are suspended
immediate~ and a statustie isindi~tad onthemulti~py display.
Status ties are representedas an alphanumeric@mbinationof
figures.
(1) Outline
-
+
I
@mrrenWofamhine failure
b
Indiationof the mdfuntiion
point on the dispfey
window
#
r-
Stetuscodaad in the memory
I I
Powerturnedoff
1
I
Stopsthe bitts opsetiorr
I
1’
I
-1+’
Saw@ MII ismade
I
(user’smtion)
I
1
Po-r turnedOn
1’
_ ~fiw Wchnkien shouti makerha
L--”_---_---:---
-------
e
Fix the problembv findingthe
b
[
Completionof toub~hooting
I
I
I
mn~l me statuscodsstool in
the memory.
I
-a
SSM- ~11with ~aasery sarvim
partson
thebasisof the troubta
Smtus~ bv the user.
Wn oneofthe
teat statue-es Ll, M, L5,M, H2,or U,
U3,Lf4isi_ted, itmaybs~ared bytumirrgthe~off.
WhenStStUSU1 h -tad, it maybedearer.bytsar
remand 13.
~ atatus.- CHis indtitsd, itmaybedeersd
automati~ upon-#etion oftrou
~ting, -t
anttinga teat*mand.
Whtietafus~H30rH4 isirtditiatf,itmaybsdearadby
testamend 14.
16-8

Related product manuals