EasyManua.ls Logo

SICK LMS141 - Page 29

SICK LMS141
110 pages
Print Icon
To Next Page IconTo Next Page
To Next Page IconTo Next Page
To Previous Page IconTo Previous Page
To Previous Page IconTo Previous Page
Loading...
Operating Instructions
LMS1xx Laser Measurement Sensors
Product description
8012471/ZN27/2017-06-09 © SICK AG · Germany · All rights reserved · Subject to change without notice 29
Chapter 3
All LMS1xx variants:
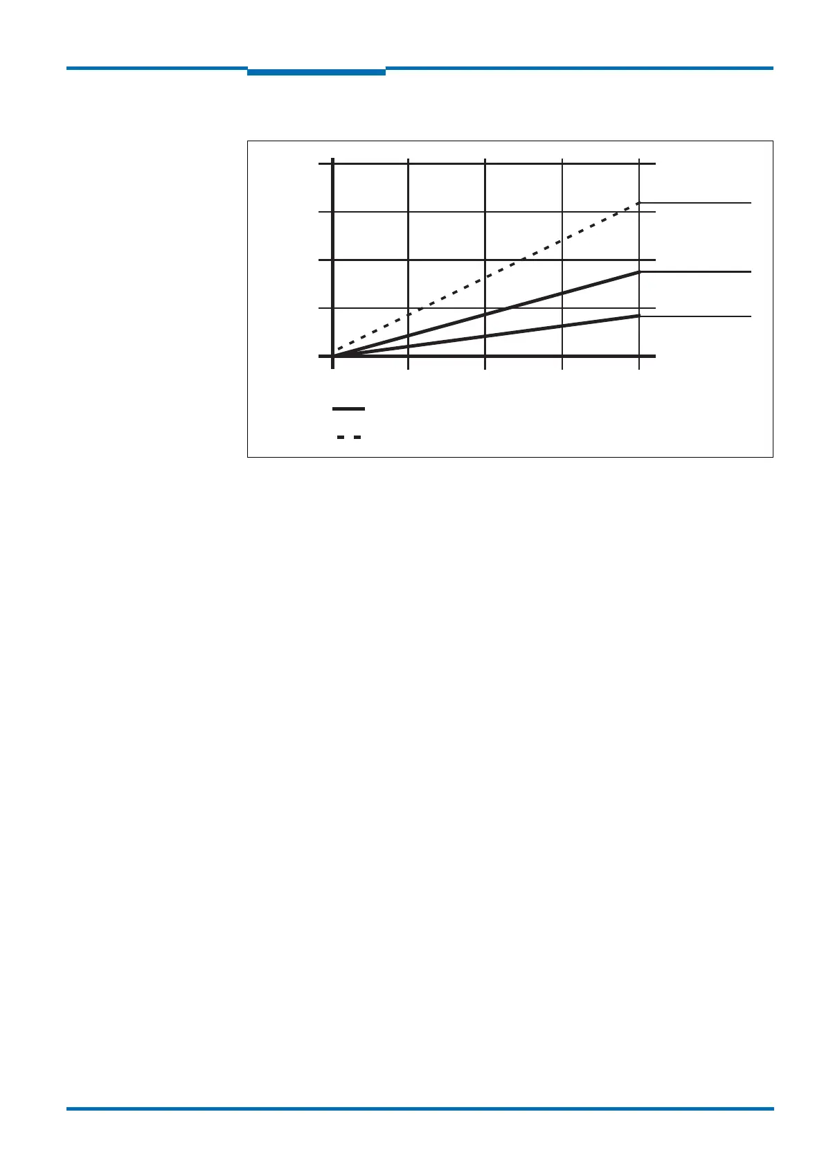
Fig. 16: All LMS1xx variants: Beam diameter and distance between measured points at 0 to 20 m
Example for angular resolution 0.25° in Fig. 16
Distance 10 m
Distance intersection point 10 m gives a distance between the measured points of approx.
40 mm.
Distance intersection point 10 m with the characteristic curve for the beam diameter gives
a beam size of approx. 170 mm.
Example for angular resolution 0.50° in Fig. 16
Distance 20 m
Distance intersection point 20 m gives a distance between the measured points of approx.
180 mm.
Distance intersection point 20 m with the characteristic curve for beam diameter gives a
beam size of approx. 310 mm.
Beam diameter
0
Distance [m]
Size [mm]
15 20
0
100
400
200
0.5° Angle
resolution
0.25° Angle
resolution
Beam diameter
Distance between measured points
10
300
5

Table of Contents

Related product manuals