EasyManua.ls Logo

Siemens 3RB22

Siemens 3RB22
107 pages
Go to English
To Next Page IconTo Next Page
To Next Page IconTo Next Page
To Previous Page IconTo Previous Page
To Previous Page IconTo Previous Page
Loading...
Dados técnicos
3ZX1012-0RB22-1AA1 95
Português
Português
Opção
Saída análoga
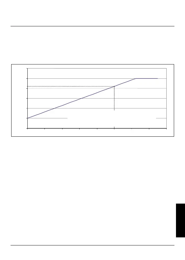
Relé eletrônico de sobrecarga com saída análoga (módulo de ampliação
de função 3RB2985-2AA0, -2AB1 e -2AA1, veja figura IV).
4 a 20 mA
1% x I
e
= 0,128 mA
Exemplo: I
out
= 10,40 mA; I
e
= 6,0 A
I = 50% de I
e
I
motor
= 3 A
Corrente de saída máx. 20 mA
Bornes I(+) e I(-)
resistência máx. de trabalho 100 Ω
Exatidão +/- 10 %
Teste de curto circuito e circuito aberto!
Instrução para o registro do valor analógico através da entrada analógica:
Ri = 100 Ω (máx.)
passivo, não é permitida a alimentação do sensor,
p.ex.: 6ES7-331-7KF02-0AB0.
0 mA
4 mA
8 mA
12 mA
16 mA
20 mA
24 mA
0%xI
e
20%xI
e
40%xI
e
100%xI
e
60%xI
e
80%xI
e
16,8 mA
I/I
e
[%] = (I
out
– 4 mA) / 0,128 mA
I
motor
[A] = (I
out
– 4 mA) x I
e
/ 12,8 mA
I
out
[mA] = I
motor
x 12,8 mA / I
e
+ 4 mA

Table of Contents

Other manuals for Siemens 3RB22

Related product manuals