EasyManua.ls Logo

Siemens 3RB22

Siemens 3RB22
107 pages
Go to English
To Next Page IconTo Next Page
To Next Page IconTo Next Page
To Previous Page IconTo Previous Page
To Previous Page IconTo Previous Page
Loading...
Technische Daten
3ZX1012-0RB22-1AA1 15
Deutsch
Option
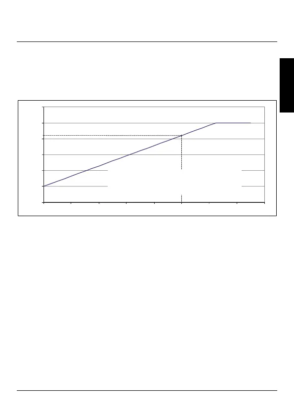
Analogausgang
Elektronisches Überlastrelais mit Analogausgang (Funktionserwei-
terungsmodul 3RB2985-2AA0, -2AB1 und -2AA1, siehe
Bild IV).
4 bis 20 mA
1% x I
e
= 0,128 mA
Beispiel: I
out
= 10,40 mA; I
e
= 6,0 A
I = 50% von I
e
I
motor
= 3 A
max. Ausgangsstrom 20 mA
Klemmen I(+) und I(-)
max. Bürde 100 Ω
Genauigkeit +/- 10 %
kurzschluss- und leerlauffest!
Hinweis für Erfassung des Analogwertes mittels Analogeingang:
R
i
= 100 Ω (max.)
passiv, keine Speisung des Sensors erlaubt
z. B.: 6ES7-331-7KF02-0AB0.
0 mA
4 mA
8 mA
12 mA
16 mA
20 mA
24 mA
0%xI
e
20%xI
e
40%xI
e
100%xI
e
60%xI
e
80%xI
e
16,8 mA
I/I
e
[%] = (I
out
– 4 mA) / 0,128 mA
I
motor
[A] = (I
out
– 4 mA) x I
e
/ 12,8 mA
I
out
[mA] = I
motor
x 12,8 mA / I
e
+ 4 mA

Table of Contents

Other manuals for Siemens 3RB22

Related product manuals