EasyManua.ls Logo

Siemens 3RB22

Siemens 3RB22
107 pages
Go to English
To Next Page IconTo Next Page
To Next Page IconTo Next Page
To Previous Page IconTo Previous Page
To Previous Page IconTo Previous Page
Loading...
Technical Data
3ZX1012-0RB22-1AA1 31
English
Optional
Analog output
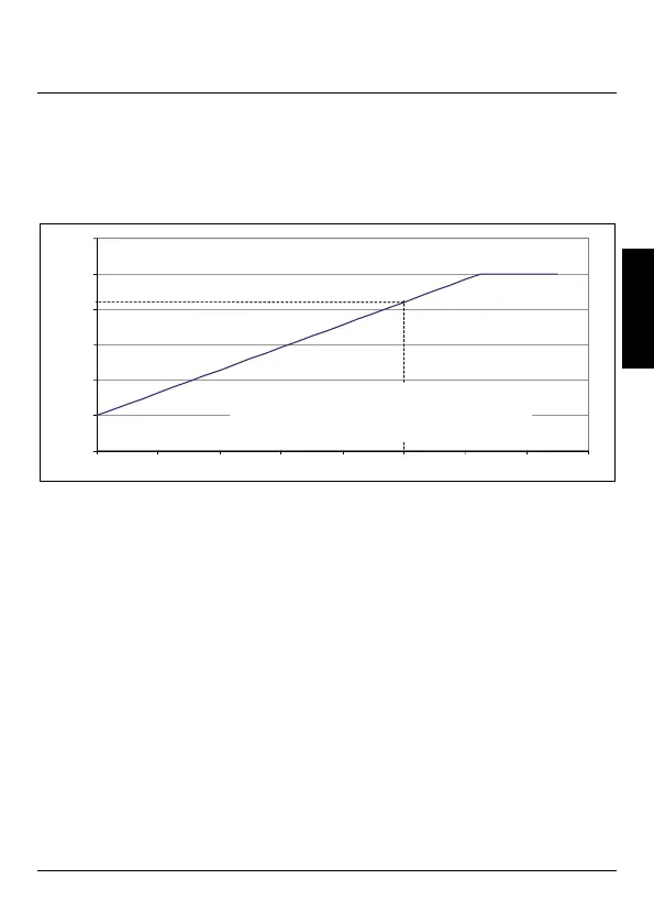
Electronic overload relay with analog output (function expansion
module 3RB2985-2AA0, -2AB1 and -2AA1, refer to Fig. IV).
4 to 20 mA
1% x I
e
= 0.128 mA
Example: I
out
= 10.40 mA; I
e
= 6.0 A
I = 50% of I
e
I
motor
= 3 A
Max. output current 20 mA
Terminals I(+) and I(-)
max. burden 100 Ω
Accuracy +/– 10 %
Short-circuit-proof and resistant to no-load operation!
Note for the recording of the analog value via the analog input:
Ri = 100 Ω (max.)
passive, no sensor supply permitted e.g.: 6ES7-331-7KF02-0AB0.
0 mA
4 mA
8 mA
12 mA
16 mA
20 mA
24 mA
0%xI
e
20%xI
e
40%xI
e
100%xI
e
60%xI
e
80%xI
e
16.8 mA
I/I
e
[%] = (I
out
– 4 mA) / 0,128 mA
I
motor
[A] = (I
out
– 4 mA) x I
e
/ 12,8 mA
I
out
[mA] = I
motor
x 12,8 mA / I
e
+ 4 mA

Table of Contents

Other manuals for Siemens 3RB22

Related product manuals