EasyManua.ls Logo

Siemens 3RB22

Siemens 3RB22
107 pages
Go to English
To Next Page IconTo Next Page
To Next Page IconTo Next Page
To Previous Page IconTo Previous Page
To Previous Page IconTo Previous Page
Loading...
Caractéristiques techniques
3ZX1012-0RB22-1AA1 47
Français
Option
Sortie
analogique
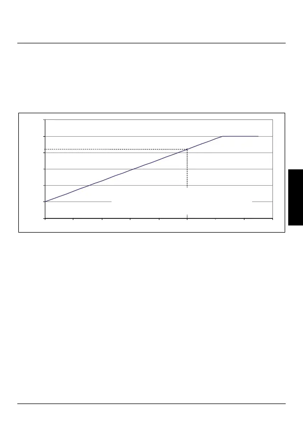
Relais de surcharge électronique avec sortie analogique (module
d’extension fonctionnel 3RB2985-2AA0, -2AB1 et -2AA1, voir la
figure IV).
4 à 20 mA
1% x I
e
= 0,128 mA
Exemple : I
out
= 10,40 mA ; I
e
= 6,0 A
I = 50% de I
e
I
moteur
= 3 A
Courant de sortie max. 20 mA
Bornes I(+) et I(-)
Charge max. 100 Ω
Précision +/- 10 %
Tenue aux courts-circuits et à vide !
Remarque pour la saisie de la valeur analogique via l'entrée analogique:
Ri = 100 Ω (max.)
passive, pas d’alimentation du capteur permise,
par ex. : 6ES7-331-7KF02-0AB0.
0 mA
4 mA
8 mA
12 mA
16 mA
20 mA
24 mA
0%xI
e
20%xI
e
40%xI
e
100%xI
e
60%xI
e
80%xI
e
16,8 mA
I/I
e
[%] = (I
out
– 4 mA) / 0,128 mA
I
motor
[A] = (I
out
– 4 mA) x I
e
/ 12,8 mA
I
out
[mA] = I
motor
x 12,8 mA / I
e
+ 4 mA

Table of Contents

Other manuals for Siemens 3RB22

Related product manuals