EasyManua.ls Logo

Siemens 3RB22

Siemens 3RB22
107 pages
Go to English
To Next Page IconTo Next Page
To Next Page IconTo Next Page
To Previous Page IconTo Previous Page
To Previous Page IconTo Previous Page
Loading...
Datos técnicos
3ZX1012-0RB22-1AA1 63
EspañolEspañol
Opción
Salida analógica
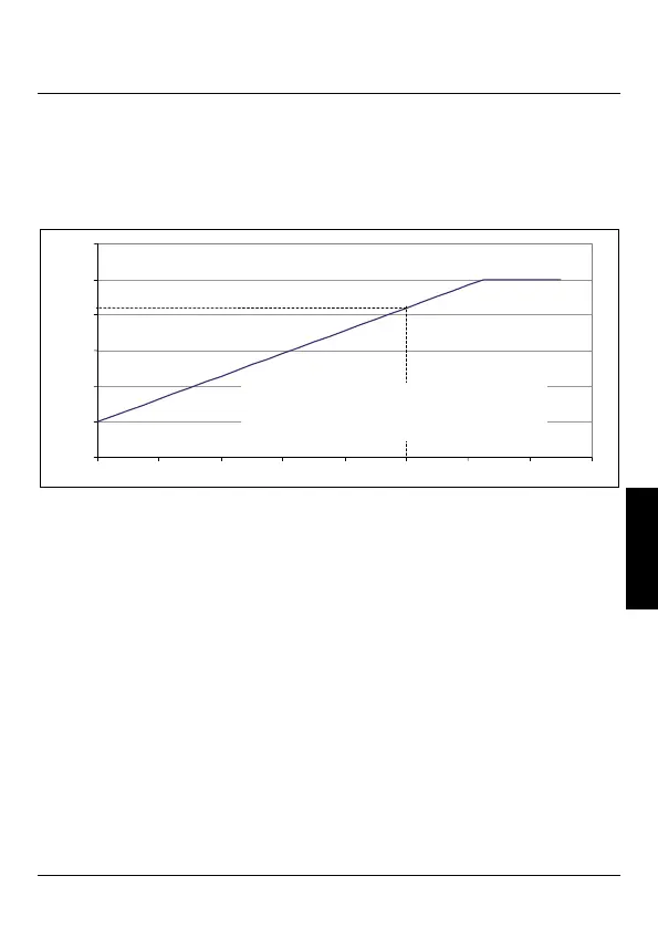
Relé de sobrecarga electrónico con salida analógica (módulos de
ampliación 3RB2985-2AA0, -2AB1 y -2AA1, ver figura IV).
4 a 20 mA
1% x I
e
= 0,128 mA
Ejemplo: I
out
= 10,40 mA; I
e
= 6,0 A
I = 50% de I
e
I
motor
= 3 A
Corriente de salida máx. 20 mA
Bornes I(+) e I(-)
Carga máx. 100 Ω
Precisión +/- 10 %
¡Resistente al cortocircuito y la marcha en vació!
Indicación para medir el valor analógico a través de la entrada analógica:
Ri = 100 Ω (máx.)
pasiva, no está permitida la alimentación del sensor,
p. ej. 6ES7-331-7KF02-0AB0.
0 mA
4 mA
8 mA
12 mA
16 mA
20 mA
24 mA
0%xI
e
20%xI
e
40%xI
e
100%xI
e
60%xI
e
80%xI
e
16,8 mA
I/I
e
[%] = (I
out
– 4 mA) / 0,128 mA
I
motor
[A] = (I
out
– 4 mA) x I
e
/ 12,8 mA
I
out
[mA] = I
motor
x 12,8 mA / I
e
+ 4 mA

Table of Contents

Other manuals for Siemens 3RB22

Related product manuals