EasyManua.ls Logo

Siemens 3RB22

Siemens 3RB22
107 pages
Go to English
To Next Page IconTo Next Page
To Next Page IconTo Next Page
To Previous Page IconTo Previous Page
To Previous Page IconTo Previous Page
Loading...
Dati tecnici
3ZX1012-0RB22-1AA1 79
ItalianoItaliano
Opzione
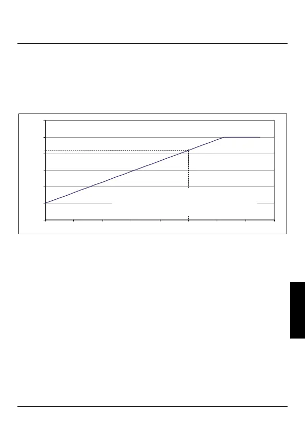
uscita analogica
l relè elettronico di sovraccarico con uscita analogica (modulo di
ampliamento della funzione 3RB2985-2AA0, -2AB1 e -2AA1, vedi
figura IV
).
4 fino 20 mA
1% x I
e
= 0,128 mA
esempio:
I
out
= 10,40 mA; I
e
= 6,0 A
I = 50% di I
e
I
Motore
= 3 A
Corrente d'uscita max. 20 mA
Morsetti I(+) e I(-)
Carico max. 100 Ω
Precisione +/- 10 %
Resistente al cortocircuito e al funzionamento a vuoto!
Nota per il rilevamento del valore analogico mediante ingresso analogico:
Ri = 100 Ω (max.)
passivo, alimentazione del sensore non consentita,
ad es.: 6ES7-331-7KF02-0AB0.
0 mA
4 mA
8 mA
12 mA
16 mA
20 mA
24 mA
0%xI
e
20%xI
e
40%xI
e
100%xI
e
60%xI
e
80%xI
e
16,8 mA
I/I
e
[%] = (I
out
– 4 mA) / 0,128 mA
I
motor
[A] = (I
out
– 4 mA) x I
e
/ 12,8 mA
I
out
[mA] = I
motor
x 12,8 mA / I
e
+ 4 mA

Table of Contents

Other manuals for Siemens 3RB22

Related product manuals