EasyManua.ls Logo

Siemens 3RB22

Siemens 3RB22
83 pages
Go to English
To Next Page IconTo Next Page
To Next Page IconTo Next Page
To Previous Page IconTo Previous Page
To Previous Page IconTo Previous Page
Loading...
Technische Daten
12 3ZX1012-0RB22-1AA1
Deutsch
Option
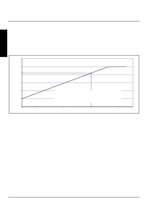
Analogausgang
Elektronisches Überlastrelais mit Analogausgang (Funktionser-
weiterungsmodul 3RB2985-2AA0, -2AB1 und -2AA1, siehe
Bild
IV).
4 bis 20 mA
1% x I
e
= 0,128 mA
Beispiel: I
out
= 10,40 mA; I
e
= 6,0 A
I = 50% von I
e
I
motor
= 3 A
Technische
Daten
max. Ausgangsstrom 20 mA
Klemmen I(+) und I(-)
max. Bürde 100
Genauigkeit +/- 10 %
kurzschluss- und leerlauffest!
0 mA
4 mA
8 mA
12 mA
16 mA
20 mA
24 mA
0%xI
e
20%xI
e
40%xI
e
100%xI
e
60%xI
e
80%xI
e
16,8 mA
I/I
e
[%] = (I
out
– 4 mA) / 0,128 mA
I
motor
[A] = (I
out
– 4 mA) x I
e
/ 12,8 mA
I
out
[mA] = I
motor
x 12,8 mA / I
e
+ 4 mA

Other manuals for Siemens 3RB22

Related product manuals