EasyManua.ls Logo

Siemens 3RB22 - Dati Tecnici

Siemens 3RB22
Print Icon
To Next Page IconTo Next Page
To Next Page IconTo Next Page
To Previous Page IconTo Previous Page
To Previous Page IconTo Previous Page
Loading...
Dati tecnici
60 3ZX1012-0RB22-1AA1
Italiano
Opzione
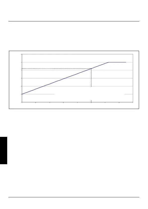
uscita analogica
l relè elettronico di sovraccarico con uscita analogica (modulo di amplia-
mento della funzione 3RB2985-2AA0, -2AB1 e -2AA1, vedi
figura IV
).
4 fino 20 mA
1% x I
e
= 0,128 mA
esempio:
I
out
= 10,40 mA; I
e
= 6,0 A
I = 50% di I
e
I
Motore
= 3 A
Dati tecnici Corrente d'uscita max. 20 mA
Morsetti I(+) e I(-)
Carico max. 100
Precisione +/- 10 %
Resistente al cortocircuito e al funzionamento a vuoto!
0 mA
4 mA
8 mA
12 mA
16 mA
20 mA
24 mA
0%xI
e
20%xI
e
40%xI
e
100%xI
e
60%xI
e
80%xI
e
16,8 mA
I/I
e
[%] = (I
out
– 4 mA) / 0,128 mA
I
motor
[A] = (I
out
– 4 mA) x I
e
/ 12,8 mA
I
out
[mA] = I
motor
x 12,8 mA / I
e
+ 4 mA

Other manuals for Siemens 3RB22

Related product manuals