EasyManua.ls Logo

Siemens 3RB22 - Optional Analog Output Specifications

Siemens 3RB22
Print Icon
To Next Page IconTo Next Page
To Next Page IconTo Next Page
To Previous Page IconTo Previous Page
To Previous Page IconTo Previous Page
Loading...
Technical Data
24 3ZX1012-0RB22-1AA1
English
Optional
Analog output
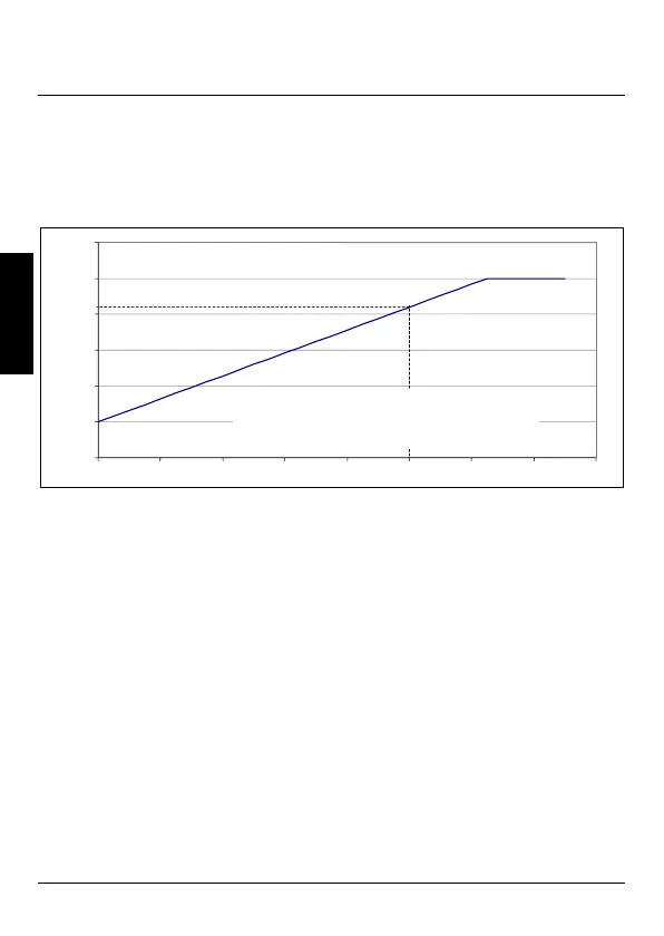
Electronic overload relay with analog output (function expansion
module 3RB2985-2AA0, -2AB1 and -2AA1, refer to Fig. IV).
4 to 20 mA
1% x I
e
= 0.128 mA
Example: I
out
= 10.40 mA; I
e
= 6.0 A
I = 50% of I
e
I
motor
= 3 A
Technical data Max. output current 20 mA
Terminals I(+) and I(-)
max. burden 100
Accuracy +/– 10 %
Short-circuit-proof and resistant to no-load operation!
0 mA
4 mA
8 mA
12 mA
16 mA
20 mA
24 mA
0%xI
e
20%xI
e
40%xI
e
100%xI
e
60%xI
e
80%xI
e
16.8 mA
I/I
e
[%] = (I
out
– 4 mA) / 0,128 mA
I
motor
[A] = (I
out
– 4 mA) x I
e
/ 12,8 mA
I
out
[mA] = I
motor
x 12,8 mA / I
e
+ 4 mA

Other manuals for Siemens 3RB22

Related product manuals