EasyManua.ls Logo

Siemens 3RB22

Siemens 3RB22
83 pages
Go to English
To Next Page IconTo Next Page
To Next Page IconTo Next Page
To Previous Page IconTo Previous Page
To Previous Page IconTo Previous Page
Loading...
Caractéristiques techniques
36 3ZX1012-0RB22-1AA1
Français
Option
Sortie
analogique
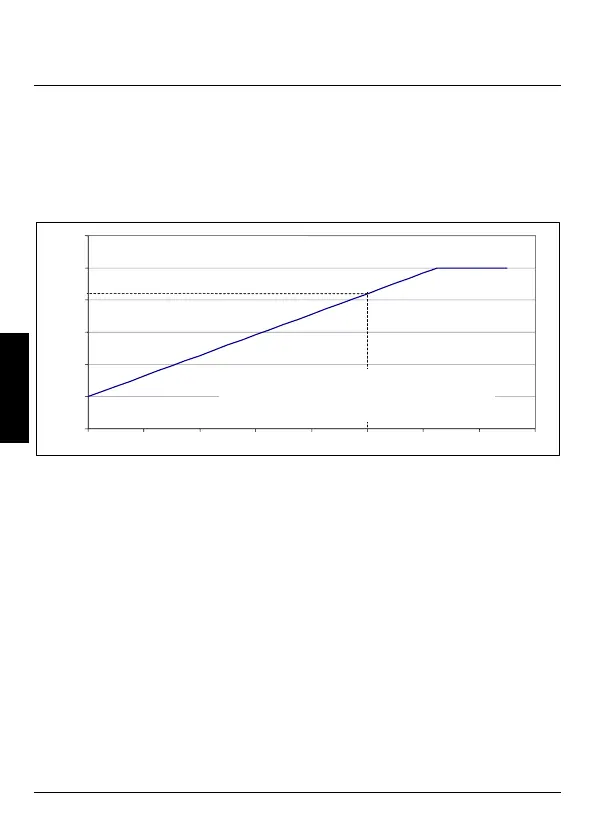
Relais de surcharge électronique avec sortie analogique (module
d’extension fonctionnel 3RB2985-2AA0, -2AB1 et -2AA1, voir la
figure IV).
4 à 20 mA
1% x I
e
= 0,128 mA
Exemple : I
out
= 10,40 mA ; I
e
= 6,0 A
I = 50% de I
e
I
moteur
= 3 A
Caractéristiques
techniques
Courant de sortie max. 20 mA
Bornes I(+) et I(-)
Charge max. 100
Précision +/- 10 %
Tenue aux courts-circuits et à vide !
0 mA
4 mA
8 mA
12 mA
16 mA
20 mA
24 mA
0%xI
e
20%xI
e
40%xI
e
100%xI
e
60%xI
e
80%xI
e
16,8 mA
I/I
e
[%] = (I
out
– 4 mA) / 0,128 mA
I
motor
[A] = (I
out
– 4 mA) x I
e
/ 12,8 mA
I
out
[mA] = I
motor
x 12,8 mA / I
e
+ 4 mA

Other manuals for Siemens 3RB22

Related product manuals