EasyManua.ls Logo

Siemens 3RB22

Siemens 3RB22
83 pages
Go to English
To Next Page IconTo Next Page
To Next Page IconTo Next Page
To Previous Page IconTo Previous Page
To Previous Page IconTo Previous Page
Loading...
Datos técnicos
48 3ZX1012-0RB22-1AA1
Español
Opción
Salida analógica
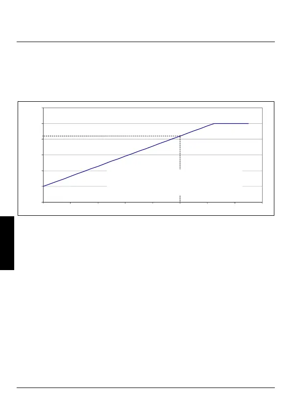
Relé de sobrecarga electrónico con salida analógica (módulos de
ampliación 3RB2985-2AA0, -2AB1 y -2AA1, ver figura IV).
4 a 20 mA
1% x I
e
= 0,128 mA
Ejemplo: I
out
= 10,40 mA; I
e
= 6,0 A
I = 50% de I
e
I
motor
= 3 A
Datos técnicos Corriente de salida máx. 20 mA
Bornes I(+) e I(-)
Carga máx. 100
Precisión +/- 10 %
¡Resistente al cortocircuito y la marcha en vació!
0 mA
4 mA
8 mA
12 mA
16 mA
20 mA
24 mA
0%xI
e
20%xI
e
40%xI
e
100%xI
e
60%xI
e
80%xI
e
16,8 mA
I/I
e
[%] = (I
out
– 4 mA) / 0,128 mA
I
motor
[A] = (I
out
– 4 mA) x I
e
/ 12,8 mA
I
out
[mA] = I
motor
x 12,8 mA / I
e
+ 4 mA

Other manuals for Siemens 3RB22

Related product manuals