EasyManua.ls Logo

Siemens 3RB22

Siemens 3RB22
83 pages
Go to English
To Next Page IconTo Next Page
To Next Page IconTo Next Page
To Previous Page IconTo Previous Page
To Previous Page IconTo Previous Page
Loading...
Dados técnicos
72 3ZX1012-0RB22-1AA1
Português
Opção
Saída análoga
Relé eletrônico de sobrecarga com saída análoga (módulo de ampliação
de função 3RB2985-2AA0, -2AB1 e -2AA1, veja figura IV).
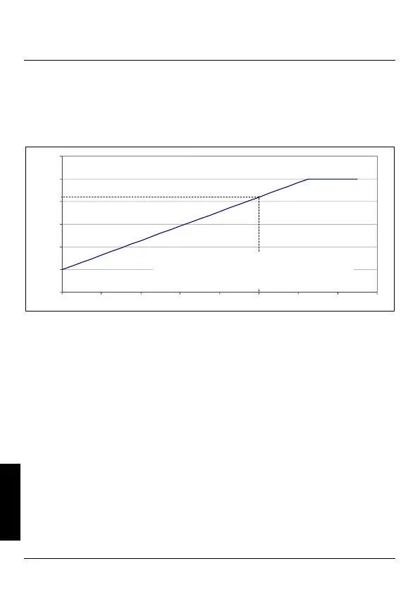
4 a 20 mA
1% x I
e
= 0,128 mA
Exemplo: I
out
= 10,40 mA; I
e
= 6,0 A
I = 50% de I
e
I
motor
= 3 A
Dados técnicos Corrente de saída máx. 20 mA
Bornes I(+) e I(-)
resistência máx. de trabalho 100
Exatidão +/- 10 %
Teste de curto circuito e circuito aberto!
0 mA
4 mA
8 mA
12 mA
16 mA
20 mA
24 mA
0%xI
e
20%xI
e
40%xI
e
100%xI
e
60%xI
e
80%xI
e
16,8 mA
I/I
e
[%] = (I
out
– 4 mA) / 0,128 mA
I
motor
[A] = (I
out
– 4 mA) x I
e
/ 12,8 mA
I
out
[mA] = I
motor
x 12,8 mA / I
e
+ 4 mA

Other manuals for Siemens 3RB22

Related product manuals