EasyManua.ls Logo

Silicon Laboratories EFM8 - Page 24

Silicon Laboratories EFM8
35 pages
Print Icon
To Next Page IconTo Next Page
To Next Page IconTo Next Page
To Previous Page IconTo Previous Page
To Previous Page IconTo Previous Page
Loading...
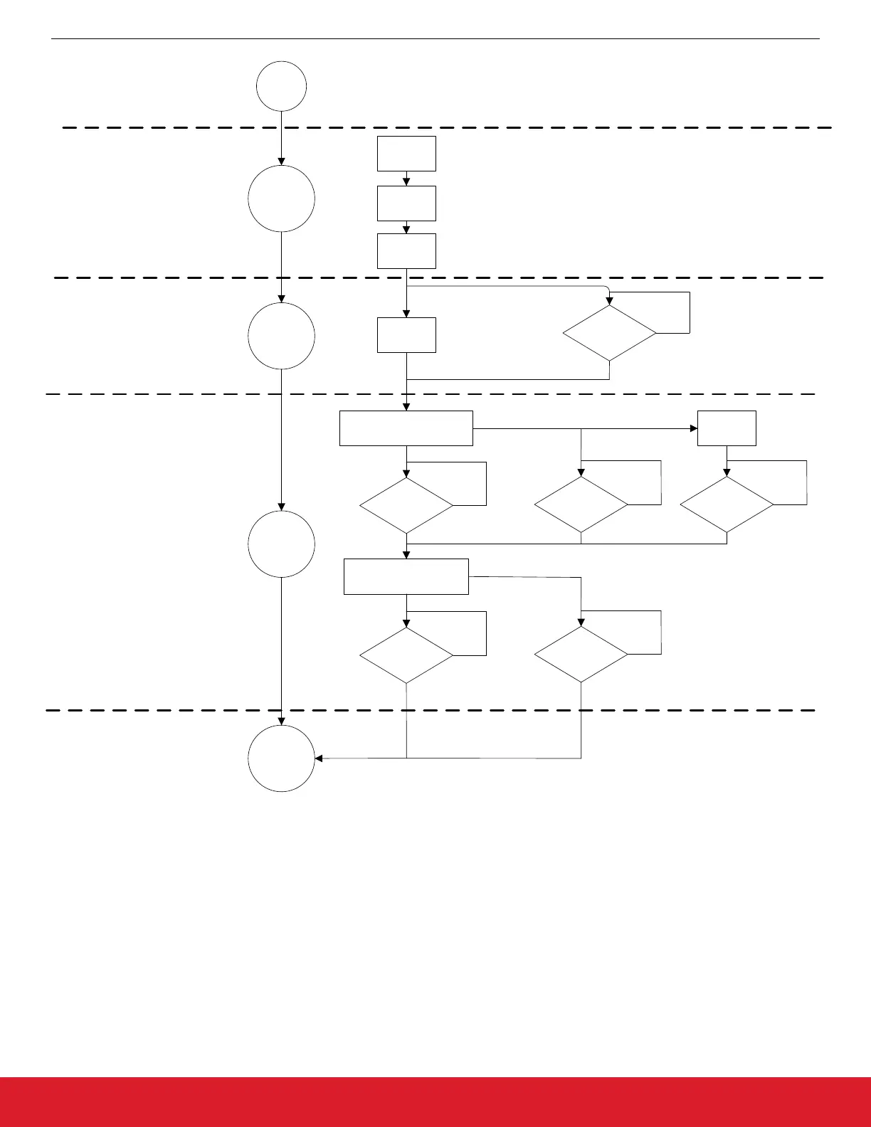
2. Radio
Power On
Reset
(POR)
1. Host MCU
Initialize
Start
3. Radio
Boot
4. Radio
Ready
SDN=1
Wait
10us
SDN=0
Host MCU pulls
down SDN pin of
radio
Waiting
5ms for
POR
GPIO1 went
high?
No
Yes
POWER_UP command
received
Radio sent
CTS to host?
No
GET_INT_STATUS
command received
Radio pulled
NIRQ low?
No
GPIO1 went
high?
No
GPIO1
goes low
Optional checking
Optional checking
Radio sent
CTS to host?
No
GPIO1 went
high?
No
Optional checking
Yes Yes
Yes Yes
Yes
Host MCU wakes the
internal API of the
radio
Host MCU clears the
interrupts of the
radio
Figure 5.1. Radio Wake Up Process
AN954: Programming Guide for EFM8 and EZRadio ®
Radio Initialization
silabs.com | Smart. Connected. Energy-friendly. Rev. 0.1 | 23

Related product manuals