EasyManua.ls Logo

Sony RMT-D240A - Troubleshooting - VCR Record Mode

Sony RMT-D240A
136 pages
Print Icon
To Next Page IconTo Next Page
To Next Page IconTo Next Page
To Previous Page IconTo Previous Page
To Previous Page IconTo Previous Page
Loading...
7-4
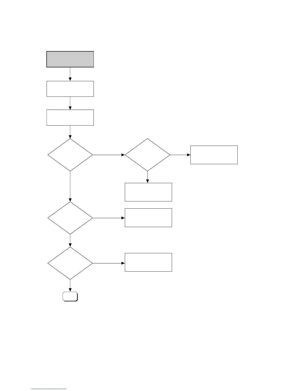
LOAD A TAPE AND
PRESS PLAY BUTTON
TURN VCR POWER ON
MECHANISM DOESN'T
OPERATE IN PLAY MODE
TAPE LOADING
OPERATION
(LOAD)
IC601-59:HIGH
IC601-58:LOW
CYLINDER
ROTATION
SW 30Hz
IC601-23
CYL FG.PG
IC601-65
CHECK CYLINDER
CHECK
IC601
NO NO
NO
NO
YES
YES
YES
YES
CHECK CN604
8pin 12V
(VCR Section)
A

Table of Contents

Related product manuals