EasyManua.ls Logo

Spiricon LBA-300 - Statistics

Default Icon
281 pages
Print Icon
To Next Page IconTo Next Page
To Next Page IconTo Next Page
To Previous Page IconTo Previous Page
To Previous Page IconTo Previous Page
Loading...
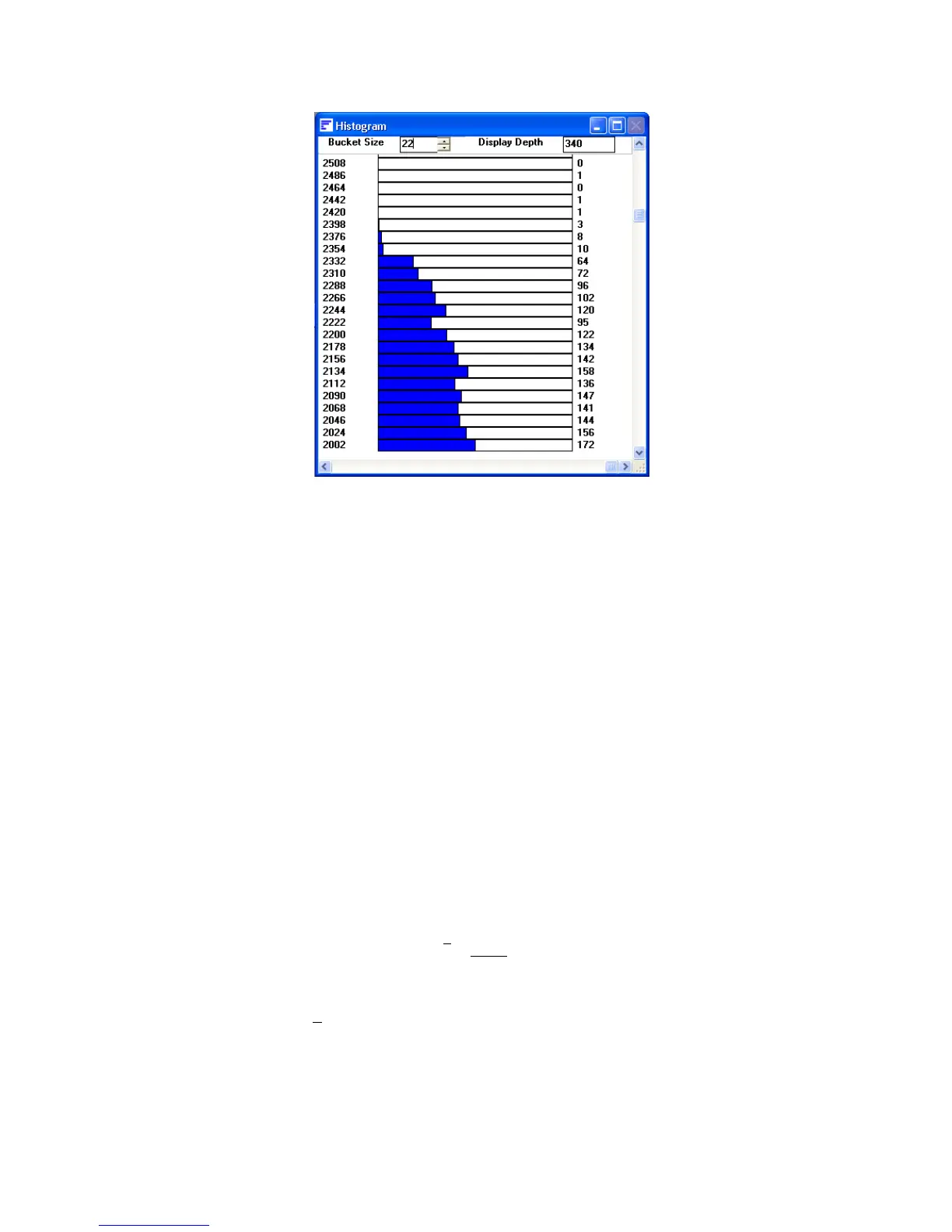
Figure 57
The numbers displayed along the left edge of the Histogram, indicate the lower value of each
Bucket. The numbers along the right edge of the display is the total count of the number of pixels
that have been placed into each of the Buckets. The length of the drawn bar represents the depth to
which the Bucket is filled. Zero count is on the left.
The horizontal scale can be magnified with the Horizontal Scroll Bar, the Vertical Scroll Bar allows
you to bring into view Buckets that may extend higher than your display resolution will accommodate.
6.23 Statistics
Statistical results can be obtained for any enabled computational item. The Statistical results are
Mean, Standard Deviation, Maximum, and Minimum. The number of samples used in computing
each result is indicated on the top line of the results.
The computation of the Mean and Standard Deviation are described in the equations below:
for the Mean,
s
S
n
n
n
=
=
1
Where:
s
= Mean.
Σ
S
= Sum of the samples.
n
= Number of samples.
Operator’s Manual LBA-PC
Doc. No. 10654-001, Rev 4.10
143

Table of Contents