EasyManua.ls Logo

TCL TAC-18CSD/XA81I - Page 45

TCL TAC-18CSD/XA81I
72 pages
Print Icon
To Next Page IconTo Next Page
To Next Page IconTo Next Page
To Previous Page IconTo Previous Page
To Previous Page IconTo Previous Page
Loading...
TCL Air Conditioner Service Manual
45
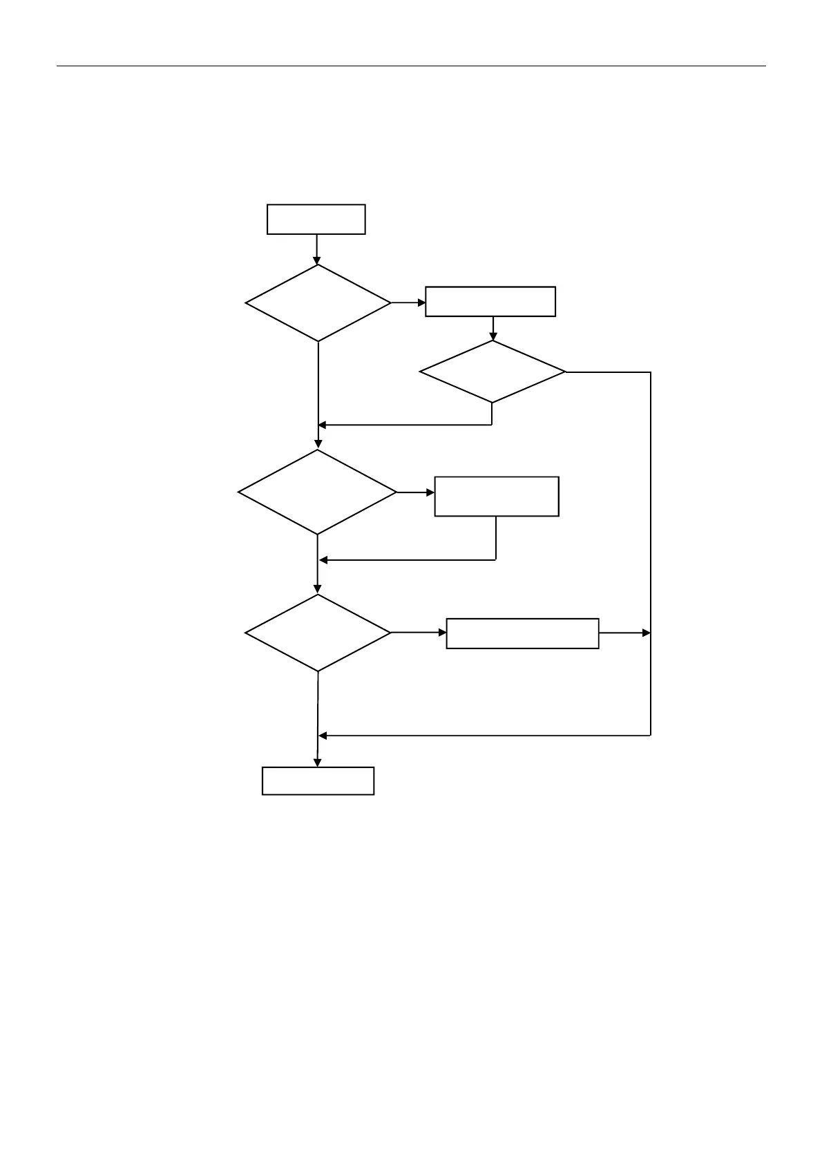
3.2.11 P2---Over Current protection
When the AC unit running current more than I
max
, it will stop and display P2 protection.
Note: for different AC model, I
max
has difference valve.
Display P2
ODU fan motor
works?
Replace fan motor
IDU filter or ODU
condenser too
dirty?
Clean IDU filter or
condense
r
Re-start the unit,
P2 disappear?
No
Replace ODU PCB
Y
es
Y
es
End
P2 disappear?
No
Y
es
No
Y
es
No

Related product manuals