EasyManua.ls Logo

TCL TAC-18CSD/XA81I - Page 54

TCL TAC-18CSD/XA81I
72 pages
Print Icon
To Next Page IconTo Next Page
To Next Page IconTo Next Page
To Previous Page IconTo Previous Page
To Previous Page IconTo Previous Page
Loading...
TCL Air Conditioner Service Manual
54
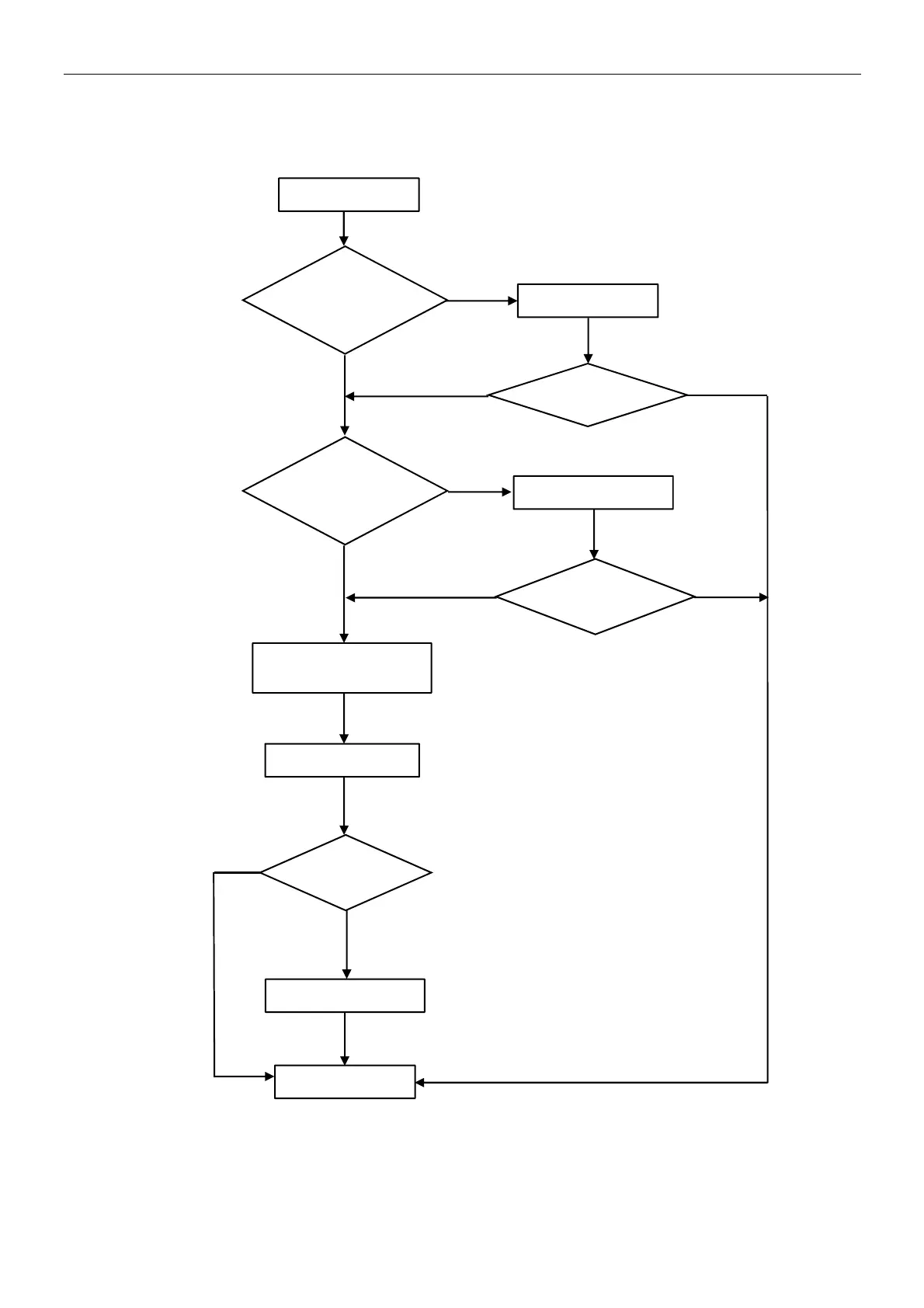
3.2.20 F6 The Compressor Lack of phase / Anti-phase protection.
If ODU PCB can’t test one, or even three phase of compressor current, it will show F6 protection.
Display F6
Check compressor
wiring connector, is
it well connected?
Re-connect
The Compressor
wirin
g
in
g
ood qualit
y
?
Replace the wires
Compressor phase-
current test circuit failure
Replace ODU PCB
End
Replace compressor
No
No
No
Y
es
Y
es
Y
es
Problem solved?
Problem solved?
Problem solved?
Y
es
No
No
Y
es

Related product manuals