EasyManua.ls Logo

Technics RS-AZ7 - Page 57

Technics RS-AZ7
61 pages
Print Icon
To Next Page IconTo Next Page
To Next Page IconTo Next Page
To Previous Page IconTo Previous Page
To Previous Page IconTo Previous Page
Loading...
R
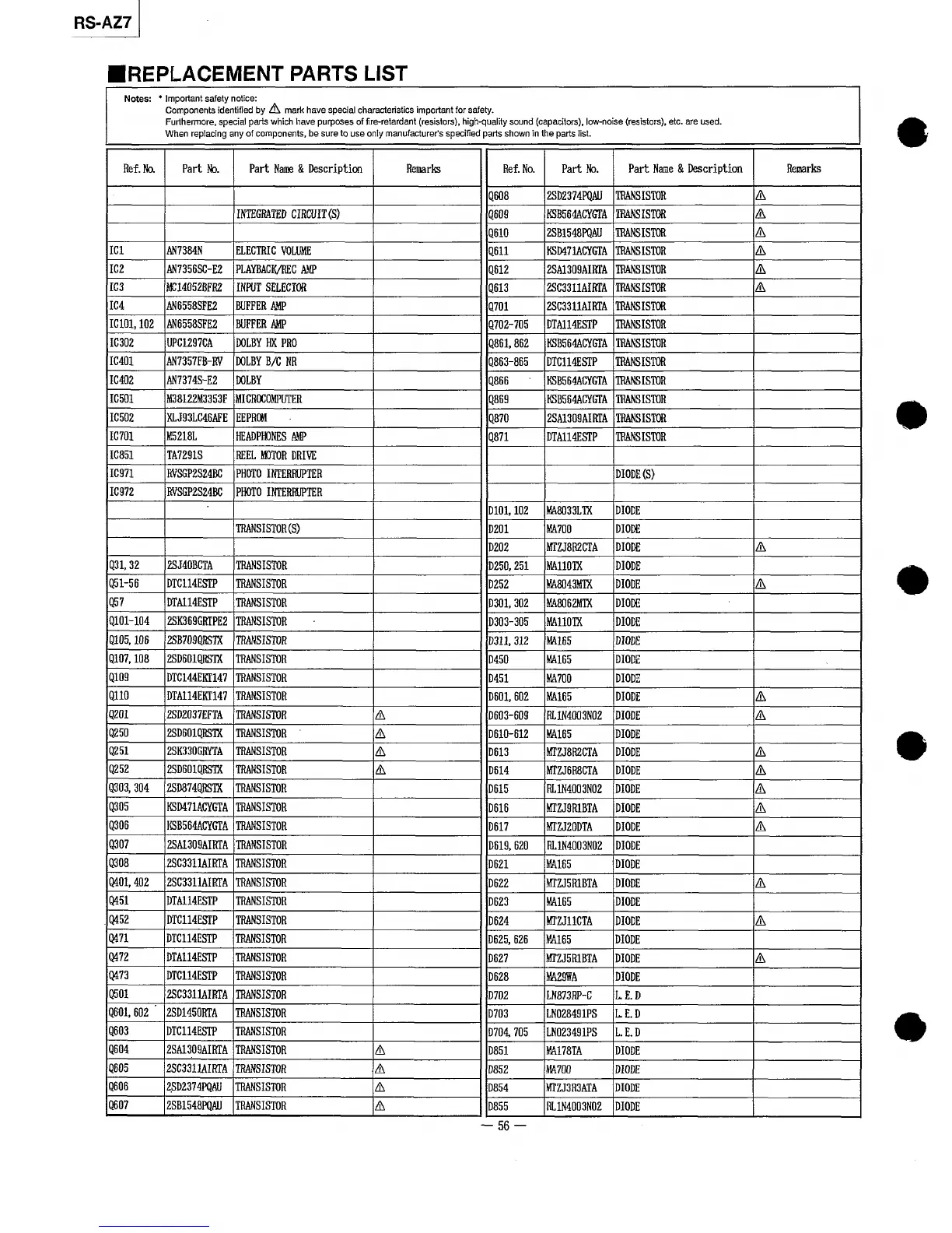
fiREPLACEMENT PARTS LIST
N I s n
C i ~ m h s c i s
Fus p w h p f ( h s ( l ( u
W r c s o m s s p l
R P l
P N &D R
R P
P &D R
Q
2
T
A
I C Q K
T
A
Q
2
T
A
I A
E V
Q K
T
A
I AN
P A
Q 2
T
A
I
M
I S
Q
2
T
A
I A
E A
Q
2
T
I 1 A
B A
Q
D
W
I U K P
Q K
T
I
AN
D B
Q
D
T
I
A
I
Q K
T
I M3MI
Q K
T
I
XL
E
Q 2
T
I h H A
Q D
T
I T
R M D
I
~
P
I
D
I BY
P I
D h
D
T
D
M
D
D
M
D
A
Q 2 T
D
M
D
Q D T
D M
D
A
Q D T
D K
D
QIQ1-1Q42S
T D W
Q105,106
DIODE
2SB709QRSTXTRANSEIY)R
D311,312 hW65
DIODE
QU37,108 25D6Q1QRNX
TRANSISTOR 0
M
D
Q
DT
T
D M
D
Q
DT
T
D t
D
A
Q
2ST
A 0 B
D
A
Q
2S
T
A
D
M
D
Q
2S
T
A
D M
D
A
Q
2S
T
A
D M
D
A
Q 3 2
T
D
R
D
A
Q
KS
T
0 h
D
A
Q
RS
T
D
M D
A
Q
2s
T
D R
D
Q
2s
T
D M
D
Q 4 2S
T
D
M
D
A
Q
D
T
0 M
D
Q
D
T
D M
D
A
Q
D T
D M
D
Q
D
T
D M
D
A
Q
D T
D
M
D
Q
2ST
D L
D
Q 6 2 T
D L
D
Q
D
T
D L
L D
Q
2ST
A
D
M
D
Q 2ST
A D M
D
Q
2 T
A D M
D
Q
2ST
A D
B
D
56—

Table of Contents

Related product manuals