EasyManua.ls Logo

Tecnam P92 Echo MK2 - SECTION 4 PERFORMANCE; 4.1 Use of Performance Charts

Tecnam P92 Echo MK2
92 pages
Print Icon
To Next Page IconTo Next Page
To Next Page IconTo Next Page
To Previous Page IconTo Previous Page
To Previous Page IconTo Previous Page
Loading...
P92 LSA
Flight Manual
Rev.0
38
SECTION 4
PERFORMANCE
4 Introduction
This section provides all necessary data for accurate and comprehensive planning of flight activity from takeoff to landing.
Data reported in graphs and/or tables were determined using:
“Flight test data” with conditions as prescribed by ASTM and bilateral agreements
Aircraft and engine in good condition
Average piloting techniques
Each graph or table was determined according to ICAO Standard Atmosphere (ISA - MSL); evaluations of the impact on
performance were carried out by theoretical means for:
Airspeed
External temperature
Altitude
Weight
Type and condition of runway
4.1 Use of Performance Charts
Performance data is presented in tabular or graphical form to illustrate the effect of different variables such as altitude,
temperature and weight. Given information is sufficient to plan journey with required precision and safety.
Additional information is provided for each table or graph.
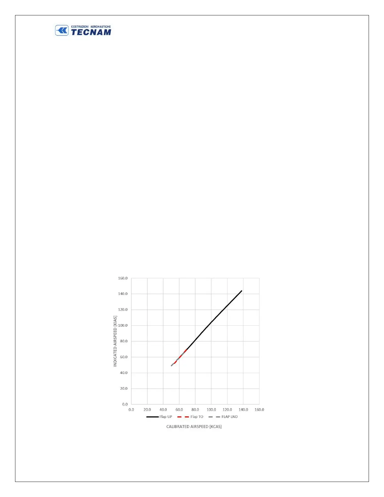
4.2 Airspeed Indicator System Calibration
Graph shows calibrated airspeed V
IAS
as a function of calibrated airspeed V
CAS.
Fig. 4-1 Indicated Vs Airspeed Calibrated.

Table of Contents

Related product manuals