EasyManua.ls Logo

Texas Instruments TI-89 - [4.11] 3 D Data Plots

Texas Instruments TI-89
507 pages
Print Icon
To Next Page IconTo Next Page
To Next Page IconTo Next Page
To Previous Page IconTo Previous Page
To Previous Page IconTo Previous Page
Loading...
igrand, lil, lpl, upl, res, dpn
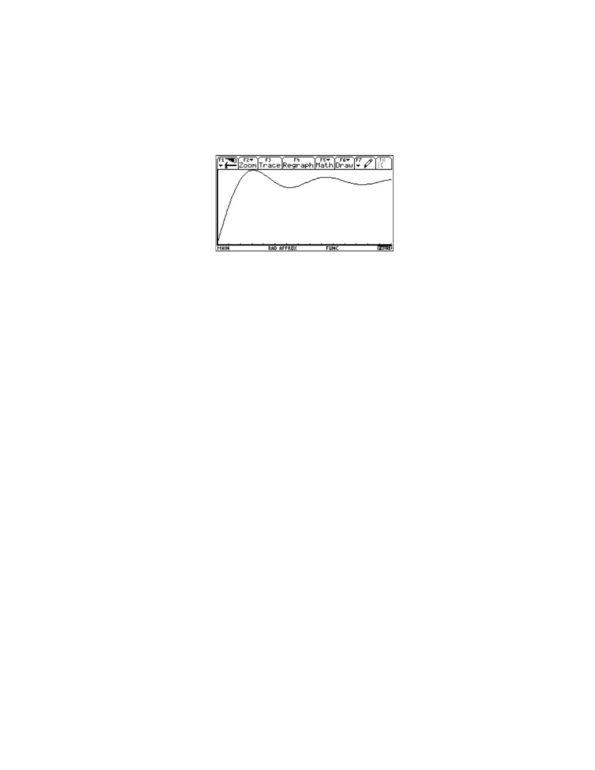
Finally, if you're curious as to what the sine integral looks like over the range of zero to 15:
[4.11] 3D data plots
The 89/92+ can plot 3D functions in a few ways, but they cannot plot 3D data, that is, a set of discrete
points in three dimensions. This tip shows how to trick the built-in 3D plotter into drawing a wire frame
plot of 3D data points. This is not a true three dimensional plot of the data points, but at least you can
get a picture of it. This method will not work for arbitrary lists of x-, y- and z-data points: you must have
a data point for each xy coordinate.
The trick is to set the plotted z= function as a the matrix of data points, and scale the x- and y-axis
maxima and minima so that the x-axis coordinates are the matrix row indices, and the y-axis
coordinates are the matrix column indices. The steps to create the plot are:
1. Set the Graph mode to 3D.
2. In the Y= editor, set the desired z= function to matrix[x,y], where matrix is the name of the
matrix. Push [F1] Format, and choose Wire Frame or Hidden Surface.
3. Push [WINDOW]. Set xmin and ymin to 1. Set xmax to the number of rows in the matrix to plot.
Set ymax to the number of columns in the matrix to plot. Set xgrid to xmax - 1. Set ygrid to
ymax - 1. Set zmin and zmax as needed to span the range of the data in the matrix to plot.
4. Press [GRAPH] to plot the data.
As an example, use this program to create a matrix mat1 to plot:
t()
Prgm
local k,j
for k,1,10
for j,1,10
ln(k)*j^2mat1[k,j]
endfor
endfor
EndPrgm
Following the steps above:
4 - 15

Table of Contents

Other manuals for Texas Instruments TI-89

Related product manuals