EasyManua.ls Logo

Toshiba V200 Series - Page 27

Toshiba V200 Series
140 pages
To Next Page IconTo Next Page
To Next Page IconTo Next Page
To Previous Page IconTo Previous Page
To Previous Page IconTo Previous Page
Loading...
Page 19
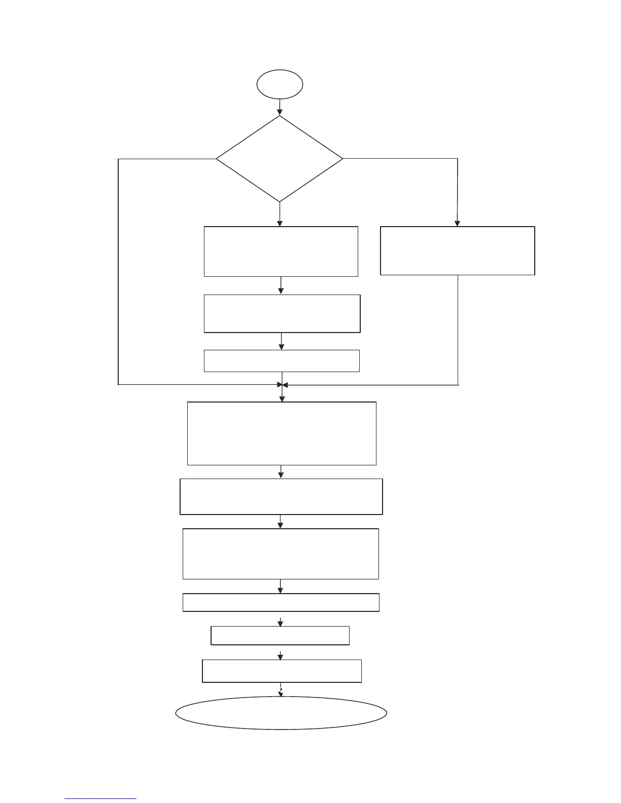
A
CPU Watch-
dog reset
Check
for
type
of
restart
Soft restart
Power On
Reset
Clear All PLC
registers
expansion
module
information and event
history
Clear All PLC registers
except keep memory,
Restore Keep memory
data,
Event
History
Initialize
USB
Set internal configuration according
to application. ( Base Timer,
(100uSec) Timer 1, IO configuration
and other system parameter read )
Configure communication channel and
detect slave serial devices.( if master )
Detect the expansion modules
and
update Expansion module
information
( Only at Power
on)
Read the ladder address information.
Power Up Self Diagnosis
Set Power On system bit to ‘1’
Main Loop
Start

Table of Contents

Related product manuals