EasyManua.ls Logo

Trane RTXC XE Series - Page 23

Trane RTXC XE Series
56 pages
Print Icon
To Next Page IconTo Next Page
To Next Page IconTo Next Page
To Previous Page IconTo Previous Page
To Previous Page IconTo Previous Page
Loading...
23
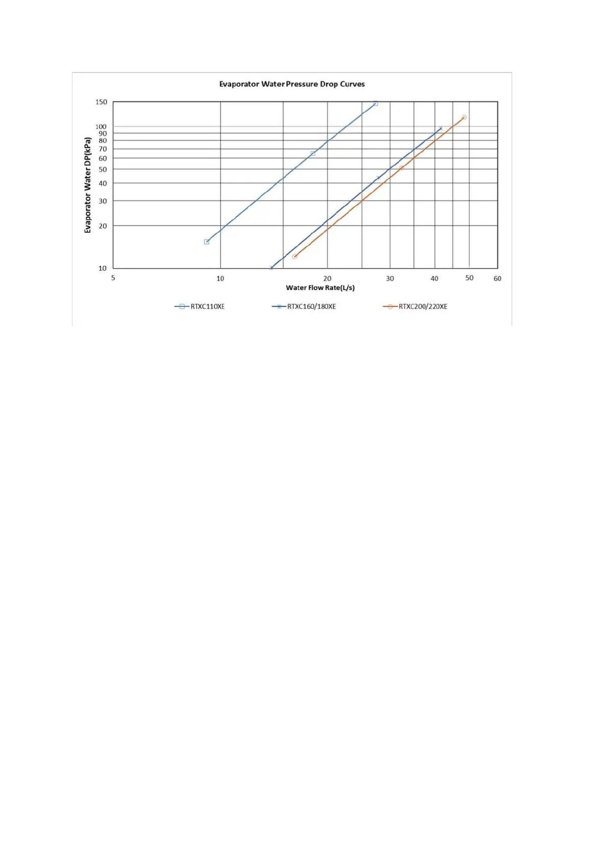
Figure 10 Evaporator Water Pressure Drop Curves
NOTICE - Water Flow Protection!
The UC800 provides a 6-second time delay on the flow switch input before shutting down the unit on
a Loss of flow diagnostic. Contact a qualified service organization if nuisance machine shutdowns
persist.
Pump self-checked
Water pump will be self-checked every time when unit is required to start by leaving water temperature.
During the process, the TD7 will display "evaporator water pump self-check." If the water pump self-check
fails, the TD7 will alarm water Pump Self-Test Failure.
Water Pressure Gauges
Install field-supplied pressure gauges (with manifolds, whenever practical) in the water inlet and outlet of the
evaporator.
Locate pressure gauges or taps in a straight run of pipe, avoid placement near elbows, etc. Be sure to install
the gauges at the same elevation. Provide shutoff valves in lines to the gauges to isolate them from the
system when they are not in use.
To read manifolded pressure gauges, open one valve and close the other (depending upon the reading
desired). This eliminates errors resulting from differently calibrated gauges installed at unmatched elevations.
Evaporator Drains
The evaporator can be drained by removing the drain plugs from the bottom of the waterbox. Field- supplied
drainage pipe installed should apply to all local and national codes.
Coil Drains
Field-supplied drainage pipe installed for the condensate water generated by coil during defrost. All local and
national codes apply.
Water Treatment
Using untreated or improperly treated water in these units may result in inefficient operation and possible tube
damage.

Related product manuals