EasyManua.ls Logo

Unox MINDMaps BAKERTOP - WS01 - Power Board Overheating Warning Troubleshooting (Static Oven)

Unox MINDMaps BAKERTOP
216 pages
Print Icon
To Next Page IconTo Next Page
To Next Page IconTo Next Page
To Previous Page IconTo Previous Page
To Previous Page IconTo Previous Page
Loading...

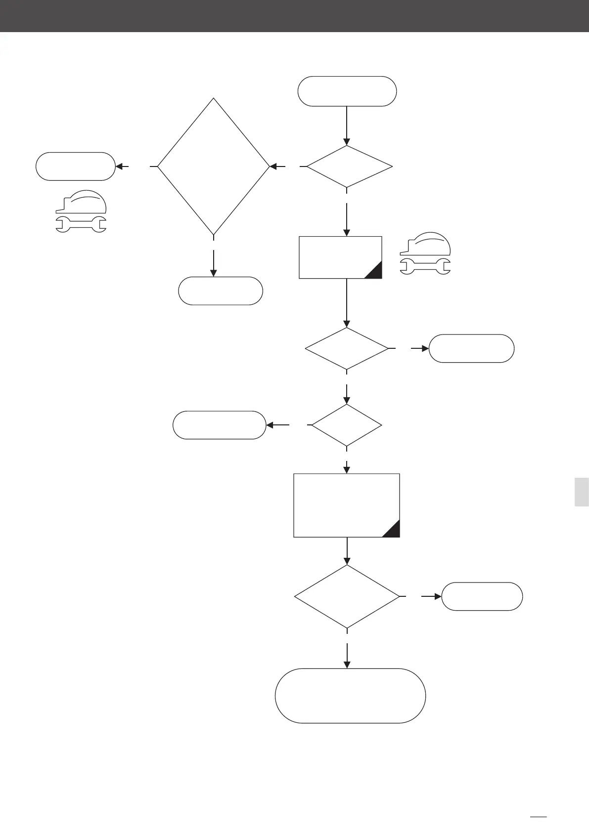
STATIC OVEN
YES
Move the oven far
away from the external
heating source
NO
NO
Replace the power
board
Test the deck oven and
investigate the possible
causes of overheating such
as device installation,
external heating sources, etc...
NO
NO
Replace the power
board
YES
Replace the back
cooling fan
YES
Check the direction
of the air flow
NO
Reverse the back
cooling fan inside its
case
YES
YES
Test 1
Test 2
WS01 power board
ov
erheating warning
Does
the back cooling
fan run?
Test the
back cooling fan
by measuring the
power
supply to the
connector of the cooling
fan, with the multimeter set
to V AC.
Does the power board
supply 230 V AC to
the cooling fan?
Is it from
the inside to
the outside of
the unit?
Is the
oven near an
external heating
source
Measure the temperature
at
the back side of the
oven near
the power
board (with the back
panel closed) with an
external certified probe
Is the temperature
over
70 °C (158 °F)?
197

Table of Contents

Related product manuals