EasyManua.ls Logo

AERMEC NBW 147 - Page 24

AERMEC NBW 147
48 pages
Print Icon
To Next Page IconTo Next Page
To Next Page IconTo Next Page
To Previous Page IconTo Previous Page
To Previous Page IconTo Previous Page
Loading...
1,00
1,10
1,20
1,30
1,40
1,50
1,60
1,70
1,80
1,90
2,00
0% 5% 10% 15% 20% 25% 30% 35% 40% 45%
FcGDpF (a)
FcGDpF (d)
FcGDpF (c)
FcGDpF (b)
FcGDpC
FcGQC
FcGQF
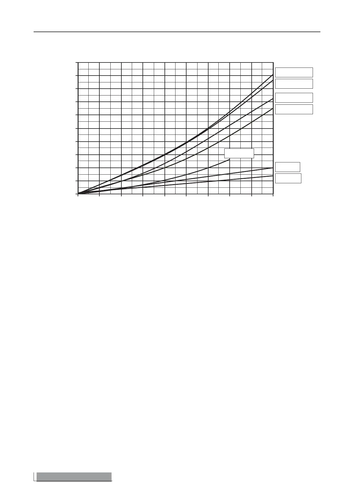
TAV 6 CORREZIONE PER PERDITE DI CARICO E PORTATA CON ACQUA GLICOLATA
CORRECTION FOR PRESSURE DROP AND WATER FLOW WITH GLYCOLE SOLUTIONS
FcGDpF (a) = Fattore di correzione delle perdite di carico (evaporatore) (valutato con una temperatura media di -3,5 °C) •
Pressure drops correction factor (evaporator) (It refers to a medium temperature of -3,5 °C).
FcGDpF (b) = Fattore di correzione delle perdite di carico (evaporatore) (valutato con una temperatura media di 0,5 °C) •
Pressure drops correction factor (evaporator) (It refers to a medium temperature of 0,5 °C).
FcGDpF (c) = Fattore di correzione delle perdite di carico (evaporatore) (valutato con una temperatura media di 5,5 °C) •
Pressure drops correction factor (evaporator) (It refers to a medium temperature of 5,5 °C).
FcGDpF (d) = Fattore di correzione delle perdite di carico (evaporatore) (valutato con una temperatura media di 9,5 °C) •
Pressure drops correction factor (evaporator) (It refers to a medium temperature of 9,5 °C).
FcGDpC = Fattore di correzione delle perdite di carico (condensatore, recupero totale, desurriscaldatore) (valutato con una
temperatura media di 47,5°C)• Pressure drops correction factor (condenser, total heat recovery, desuperheater)(It refers to a
medium temperature of 47,5 °C).
FcGQF = Fattore di correzione delle portate (evaporatore) (valutato con una temperatura media di 9,5 °C) • Water flow cor-
rection factor (evaporator)(It refers to a medium temperature of 9,5 °C).
FcGQC = Fattore di correzione delle portate (condensatore, recupero totale, desurriscaldatore) (valutato con una tempera-
tura media di 47,5 °C) • Water flow correction factor (condenser, total heat recovery, desuperheater)(It refers to a medium
temperature of 47,5 °C).
I fattori di correzione di portata acqua e perdite di carico vanno applicati direttamente ai dati ricavati per funzionamento
senza glicole.
The water flow rate and pressure drop correction factors are to be applied directly to the values given for operation without
glycol.
Aermec s.p.a.
% Glicole • % Glycole
Fattore correttivo • Corrector factor

Related product manuals