EasyManua.ls Logo

Agilent Technologies 6624A - Gpib Board and Front Panel Troubleshooting Procedures; Test Setup; Post Repair Calibration; Setting the Model Number (MODEL Command)

Agilent Technologies 6624A
156 pages
Print Icon
To Next Page IconTo Next Page
To Next Page IconTo Next Page
To Previous Page IconTo Previous Page
To Previous Page IconTo Previous Page
Loading...
4-18
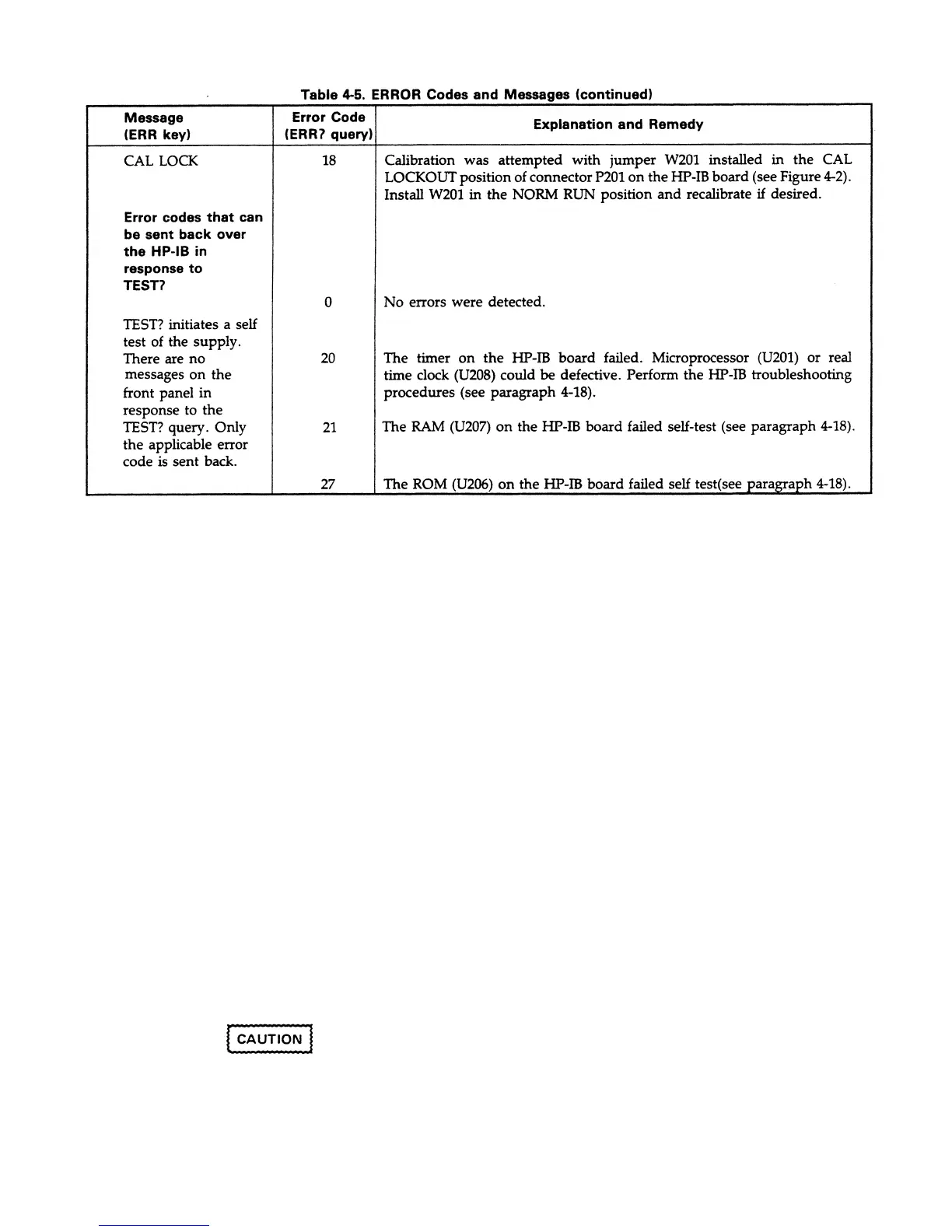
TROUBLESHOOTING PROCEDURES
4-20 Post Repair Calibration
the EEPROM chip (U211), each output in the supply must
be recalibrated as described in Appendix A of the Operating
Manual. Since the EEPROM provides non-volatile storage of
reassign these values before the calibration procedures can
key as described in Section III of the Operating Manual. The
supply's Model number is set as described in the next
paragraph.
4-21 Setting the Model Number
At turn-on, the supply's model number and letter suffix (e.g.
Agilent 6624A) are read out of the EEPROM along with
other constants which are required to program the supply
correctly. The model number constant specifies how many
and what type of outputs (e.g. 40 W or 80 W, etc.) your
supply contains and thus establishes the programming
limits for a particular supply.
The MODEL command is used to set the model number and
letter suffix of the supply. This was done before your supply
To assign a model number to your supply, the following
controller. Note that in this programming example, it is
Model 6624A.
4-13
GPIB BOARD AND FRONT PANEL
If the GPIB board is replaced or it is repaired by replacing
the supply's Model number and GPIB address, you must
be performed on the new (or repaired) GPIB board. The
GPIB address is set manually using the front panel ADDR
left the factory. However, when you replace a defective
GPIB board or repair an GPIB board by changing its
EEPROM chip (U211), this setting may be lost and you must
set the model number using the MODEL command.
short program can be used with BASIC installed in an GPIB
assumed that the GPIB Interface address is 7 and the
supply's GPIB address is 05 and your supply is a Agilent
Troubleshooting procedures for the GPIB board and Front
procedures first ensure that the bias voltages for the GPIB
board circuits and the Front Panel display are correct. The
microprocessor clock, the RAM, and ROM circuits are then
checked. After these preliminary checks are made, signature
analysis tests are performed as described in paragraph 4-22
to determine which component is defective.
4-19 Test Setup
The following test setup allows access to the components on
the GPIB board:
a. Disconnect the line cord.
b. Remove the GPIB board as described in
paragraphs 4-3 through 4-6.
c. Place an insulating material on the chassis and lay
the GPIB board on top of the material.
d. Reconnect all cables in their proper locations.
e. Connect the line cord.
The GPIB board is connected to the chassis ground with one PC
board screw and through the GPIB connector. When checking the
GPIB board with an oscilloscope, be sure that the scope's ground
is connected only to a ground point on the GPIB board itself.
Connecting the scope ground to any other point on the GPIB
board may result in damage to the supply.
NOTE:
The GPIB troubleshooting procedures in this section apply only to
earlier through-hole board assemblies. Surface-mount GPIB
assemblies are not repairable to the component level. If defective,
the entire GPIB assembly must be replaced.
Panel are given in the flow chart of Figure 4-7. The

Table of Contents

Other manuals for Agilent Technologies 6624A

Related product manuals