EasyManua.ls Logo

Arroyo Instruments TECSource 5305 - Working With Thermistors; Thermistor Resistance Characteristics

Arroyo Instruments TECSource 5305
44 pages
Print Icon
To Next Page IconTo Next Page
To Next Page IconTo Next Page
To Previous Page IconTo Previous Page
To Previous Page IconTo Previous Page
Loading...
Page 22 · 5300 Series TECSource User’s Manual
Working With Thermistors
The TECSource is designed to work with negative temperature coefficient (NTC)
thermistors, such as the BetaTHERM 10K3A1 thermistor used in the
LaserMounts. A thermistor works by translating temperature into resistance,
with resistance decreasing as temperature increases (hence the ‘negative
coefficient’).
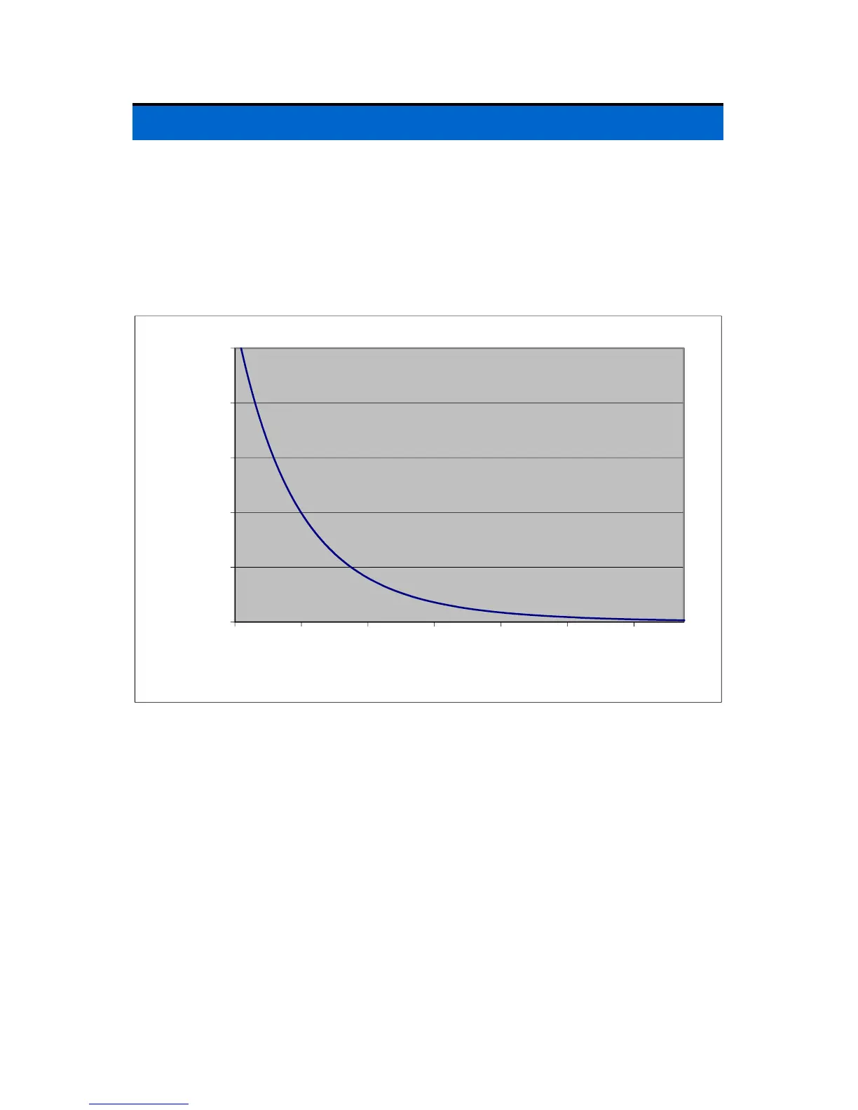
Here is a typical response curve of a thermistor:
Typical Resistance vs. Temperature Graph
As can be seen be the graph, the resistance of the thermistor drops very quickly.
In the typical control range (0°C to 40°C), typical 10K thermistors offer good
sensitivity to changes in temperature, and this is the range in which most 10K
thermistors are typically used. 10K thermistors can be used at much higher
temperatures, but will suffer poorer temperature stability performance because
of the lower sensitivity. When evaluating the performance of a thermistor, it is
important to understand the resistance sensitivity of the thermistor at your
application temperature, which varies greatly by temperature and thermistor
types.
The TECSource supports operation using a 10μA or 100μA constant current
source, which limits the upper control range to 450k, 45k, and 4.5k,
respectively. To minimize noise and maximize stability, you should select
highest current while still allowing you full operation across your required
0
10000
20000
30000
40000
50000
-10.00 10.00 30.00 50.00 70.00 90.00 110.00
Resistance ()
Temperature (°C)

Related product manuals