EasyManua.ls Logo

Baumuller BM5000 Series - Output Frequency-Dependent Current Derating

Baumuller BM5000 Series
330 pages
Print Icon
To Next Page IconTo Next Page
To Next Page IconTo Next Page
To Previous Page IconTo Previous Page
To Previous Page IconTo Previous Page
Loading...
Electrical data
Instruction handbook b maXX 5000
Document No.: 5.09021.16 Baumüller Nürnberg GmbH
74
of 328
3.4
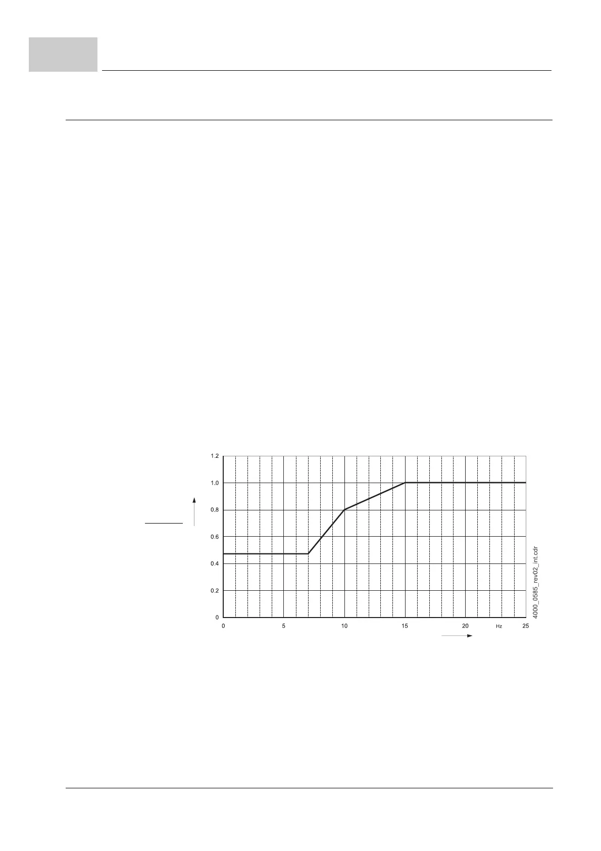
3.4.3 Output frequency-dependent current derating
All Baumüller devices have been developed so that the rated output current, as stated,
are only continuously permitted (i. e. in S1 operation) with an electrical output frequency
of 1
5 Hz or higher. If the static inverter ou
tput frequency is smaller than 15 Hz and the
frequency is between 0 and 15 Hz for more than 5 seconds, then the continuously per-
missible output current must be reduced accord
ing to the following characteristic curve.
These are affected, for example, but not exclusively:
n Ap
plications with rpm control but without positioning, or
n Applications
in which a current is required to assure a torque / a force at standstill or
n App
lications in which blocking of the mechanical parts can occur, e.g. when starting up
cold extruders.
Thus, typically, the following applications are not affected:
n Generally, ty
pical positioning applications
n Applications
with motors that use a service brake when at standstill.
n Applications
in which the higher-level control unit has standstill and blocking monitor-
ing.
Insofar as the derating range has been cycled through with sufficient speed, the applica-
tion of I
rated
is permitted. Here, cycled through with sufficient speed means that the fre-
quency change corresponds to 15 Hz/s.
Derating of the motor-side inverter output current I with respect to the rated output current
I
rated
as a function of the static inverter output frequency f.
I
I
rated
Static inverter output frequency f
Figure 30: Derating with a static inverter frequency < 15 Hz

Table of Contents

Related product manuals