EasyManua.ls Logo

BFGoodrich PS-823 - Page 103

Default Icon
344 pages
Print Icon
To Next Page IconTo Next Page
To Next Page IconTo Next Page
To Previous Page IconTo Previous Page
To Previous Page IconTo Previous Page
Loading...
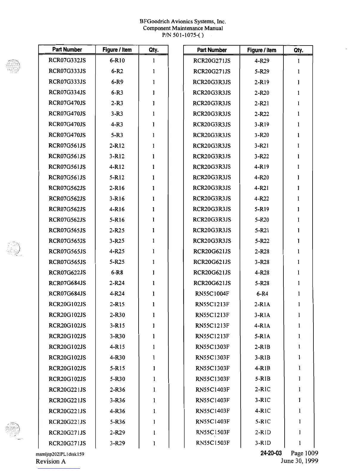
BFGoodrich Avionics Systems,
Inc.
Component
Maintenance Manual
P/N
501-1075-()
Part
Number
Figure
/
Item
Oty. PartNumber
Figure
/
Item
Oty.
RCRO7G332JS
6-Rl0
1
RCR20G271JS
4-R29
1
RCRO7G333JS
6-R2
1
RCR20G271JS
5-R29
1
RCRO7G333JS
6-R9
1
RCR20G3R3JS
2-R19
1
RCRO7G334JS
6-R3
1
RCR20G3R3JS
2-R20
1
RCRO7G470JS
2-R3
1
RCR20G3R3JS
2-R21
1
RCRO7G470JS
3-R3
1 RCR20G3R3JS
2-R22
1
RCRO7G470JS
4-R3
1 RCR20G3R3JS
3-R19
1
RCRO7G470JS
5-R3
1 RCR20G3R3JS
3-R20
1
RCRO7G561JS
2-Rl2
1
RCR20G3R3JS
3-R21
1
RCRO7G561JS
3-R12
1
RCR20G3R3JS
3-R22
1
RCRO7G561JS
4-R12
1
RCR20G3R3JS
4-R19
1
RCRO7G561JS
5-R12
1
RCR20G3R3JS
4-R20
1
RCRO7G562JS
2-R16
1
RCR20G3R3JS
4-R21
1
RCRO7G562JS
3-Rl6
1
RCR20G3R3JS
4-R22
1
RCRO7G562JS
4-Rl6
1
RCR20G3R3JS
5-R19
1
RCRO7GS62JS
5-R16
1
RCR20G3R3JS
5-R20
1
RCRO7G565JS
2-R25
1
RCR20G3R3JS
5-R21
1
RCRO7G565JS
3-R25
1 RCR20G3R3JS
5-R22
1
RCRO7G565JS
4-R25
1 RCR20G621JS
2-R28
1
RCRO7G565JS
5-R25
1
RCR20G621JS
3-R28
1
RCRO7G622JS
6-R8
1
RCR20G621JS
4-R28
1
RCRO7G684JS
2-R24
1
RCR20G621JS
5-R28
1
RCRO7G684JS
4-R24
1
RN55C1004F
6-R4
1
RCR20Gl02JS
2-R15
1
RN55Cl213F
2-R1A
1
RCR20Gl02JS
2-R30
1
RN55Cl213F
3-R1A
1
RCR20Gl02JS
3-R15
1
RN55Cl213F
4-RlA
1
RCR20Gl02JS
3-R30
1
RN55Cl213F
5-RlA
1
RCR20Gl02JS
4-Rl5
1
RN55Cl303F
2-RlB
l
RCR20Gl02JS
4-R30
1
RN55Cl303F
3-RlB
l
RCR20Gl02JS
5-Rl5
1
RN55Cl303F
4-R1B
l
RCR20Gl02JS
5-R30
1
RN55Cl303F
5-RlB
l
RCR20G221JS
2-R36
1
RN55C1403F
2-RlC
1
RCR20G221JS
3-R36
1
RN55Cl403F
3-RlC
l
RCR20G221JS
4-R36
1
RN55Cl403F
4-R1C
1
RCR20G22lJS
5-R36
1
RN55Cl403F
5-RlC
1
RCR20G271JS
2-R29
1
RN55Cl503F
2-R]D
1
RCR20G271JS
3-R29
1
RN55C1503F
3-RlD
1
nsmljtp202IPLldiskl59
24-20-03
Page 1009
Levision A June 30, 1999

Table of Contents