EasyManua.ls Logo

BFGoodrich PS-823 - Page 104

Default Icon
344 pages
Print Icon
To Next Page IconTo Next Page
To Next Page IconTo Next Page
To Previous Page IconTo Previous Page
To Previous Page IconTo Previous Page
Loading...
BFGoodrich Avionics Systems, Inc.
CornponentAdahitenanceAdanual
Pß¾501-1075-()
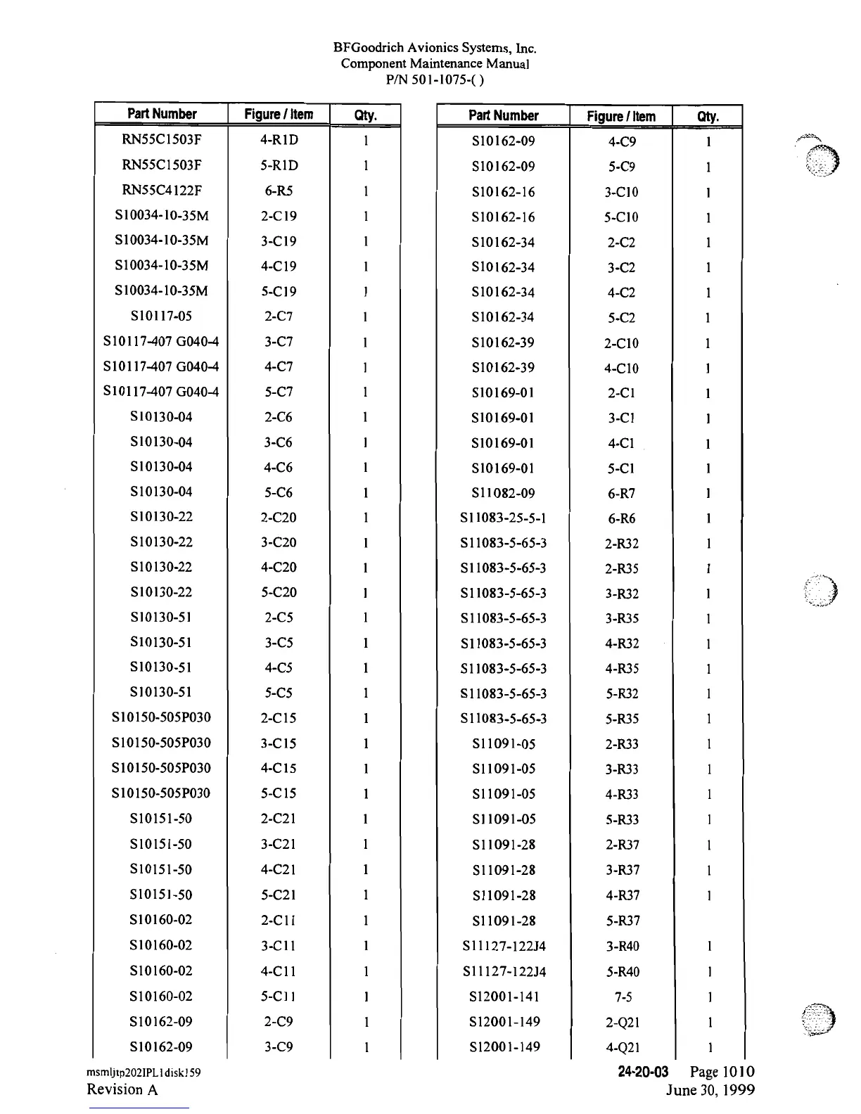
Part
Number
Figure
/
Item
Oty.
Part
Number Figure/Item
Oty.
FUV55C1503F
4-RID
1
S10162-09
4-C9
1
PJ455C1503F
5-R1D
1
$10162-09
5-C9
1
FOR55C4122F
6-R5
1
S10162-16
3-C10
l
S10034-10-35h4
2-Cl9
1
S10162-16
5-C10
1
S10034-10-35hí
3-Cl9
1
S10162-34
2-C2
1
S10034-10-35hí
4-C19
1
S10162-34
3-C2
1
S10034-10-35hí
5-Cl9
1
S10162-34 4-C2
1
S10117-05 2-C7
1
S10162-34
5-C2
1
S10117-407GO40-4
3-C7
1
S10162-39
2-C10
1
S10117-407
GO40-4
4-C7
1
S10162-39
4-C10
1
S10117-407 GO40-4
5-C7
1
S10169-01
2-Cl
l
S10130-04
2-06
1
S10169-01 3-Cl
1
S10130-04
3-C6
1
S10169-01
4-Cl
l
S10130-04
4-C6
1
S10169-01 5-Cl
l
S10130-04
5-C6
1
S11082-09 6-R7
1
S10130-22
2-020
1
Sll083-25-5-1 6-R6
1
S10130-22
3-C20
1
S11083-5-65-3 2-R32
1
S10130-22
4-C20
1
S11083-5-65-3
2-R35
1
S10130-22
S-C20
1
S11083-5-65-3 3-R32
1
S10130-51
2-C5
1
S11083-5-65-3 3-R35
l
S10130-51
3-C5
1
S11083-5-65-3
4-R32
1
Sl0130-51
4-C5
1
S11083-5-65-3
4-R35
1
510130-51
5-C5
1
S11083-5-65-3 5-R32
1
S10150-505PO30 2-Cl5
1
S11083-5-65-3 5-R35
1
S10150-505PO30 3-Cl5
1
S11091-05
2-R33
l
S10150-505PO30 4-C15
1
S11091-05
3-R33
1
S10150-505PO30
5-C15
1
511091-05
4-R33
1
$10151-50 2-C21
1
S11091-05
5-R33
1
$10151-50 3-C21
1
S11091-28
2-R37
1
S10151-50
4-C21
1
$11091-28
3-R37
1
510151-50
5-C21
1
S11091-28
4-R37
l
S10160-02
2-C11
1
S11091-28
5-R37
S10160-02 3-Cll
l
S11127-122J4
3-R40
1
S10160-02 4-C11
l
Slll27-122J4
5-R40
l
SS11016602-0029
52
29
1
SS112200001-1449
2-
21
1
S10162-09 3-C9
1
S1200l-l49
4-lQ2l l
m:mljtp202IPLldiskl59
24-20-03
Page
1010
Revision
A
June30,1999

Table of Contents