EasyManua.ls Logo

Blue Box SIGMA 2002 - Page 49

Blue Box SIGMA 2002
124 pages
Print Icon
To Next Page IconTo Next Page
To Next Page IconTo Next Page
To Previous Page IconTo Previous Page
To Previous Page IconTo Previous Page
Loading...
Blue Box - 43
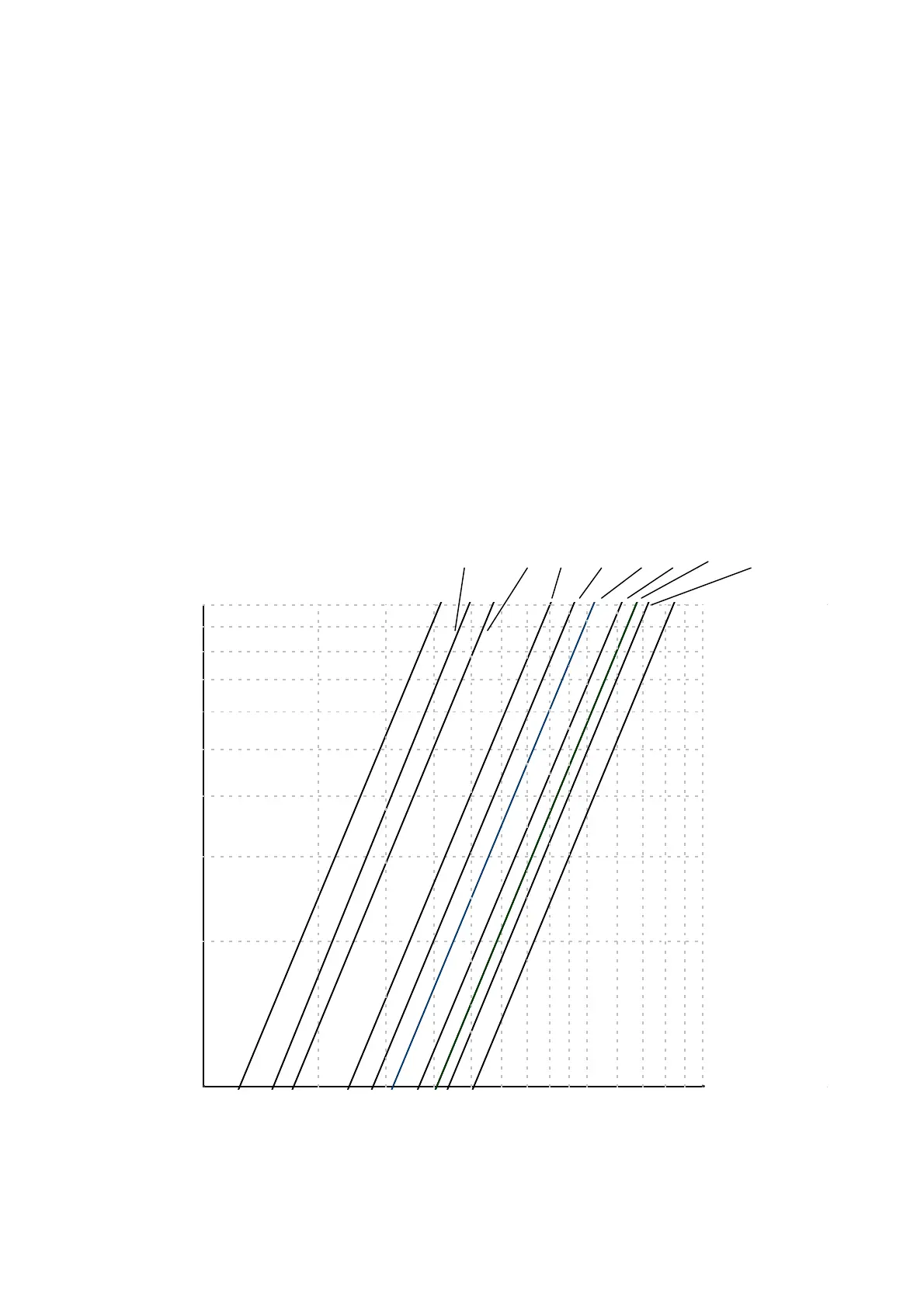
CONDENSER PRESSURE DROP
The water temperature rise for all versions must be between 4 °C (min) and 7 °C (max)
4.14 Water flow rate to evaporato and condenser
The nominal water flow rate given by Blue Box refers to a 5 °C temperature difference between inlet and outlet
in relation to the rated cooling capacity.
The maximum permissible flow rate is that which represents a temperature difference of 4 °C. Higher flow rates
would lead to excessive pressure drops and could damage the heat exchanger.
The minimum permissible flow rate is that which would result in a temperature difference of 7 °C or a pressure
drop of no less than 10 kPa. Lower flow rates would lead to excessively low evaporation temperatures or to high
condensing temperatures with consequent tripping of safety devices and shutdown of the unit.
4.15 EVAPORATOR CHILLED WATER TEMPERATURE
The minimum evaporator leaving water temperature is 5 °C: for lower temperatures refer to paragraph 4.12. The
maximum water temperature at the evaporator inlet is 20 °C. In the case of higher temperatures specific solutions
are necessary (dual circuits, three-way valves, by-pass, storage tanks)
20
30
50
60
70
80
90
100
40
1
6
4
10.2
2
3.2
4.2
5.2
6.2
7.2
8.2
9.2
12.2
8 10
12 14 16 18 20
13.2
5
3 7 9
Portata acqua [l/s]
Water Flow
Perdite di carico [Kpa]
Pressure drop

Table of Contents

Related product manuals