EasyManua.ls Logo

BONFIGLIOLI ACTIVE Cube ACU 401-31 - Motor Protection

BONFIGLIOLI ACTIVE Cube ACU 401-31
292 pages
Print Icon
To Next Page IconTo Next Page
To Next Page IconTo Next Page
To Previous Page IconTo Previous Page
To Previous Page IconTo Previous Page
Loading...
18.5 Motor Protection
The protection of the motor against impermissible temperature rise requires monitor-
ing mechanisms for recognizing a thermal overload to
prevent a possible damage to
the motor.
The thermal state of a motor can be evaluated by different ways.
1.) Direct monitoring by temperature sensors inside the motor winding (see chapter
18.5.1).
- PTC
- KTY
- PT100
- Thermal contact
2.) Indirect monitoring of the motor temperature
- Monitoring of the motor current based on the K characteristic of an integrat-
ed motor circuit breaker
- Emulation of the motor heating by using a temperature-relevant mathemat-
ical model I
2
t
The choice of thermal control is mainly determined by type and operating conditions
of the motor.
For safe motor protection it is generally sufficient using one of the available possibili-
ties.
A combination of the two groups and their simultaneous operation is possible.
18.5.1 Motor Protection Switch
Motor protection switches are used for protecting a motor and its supply cable
against over
heating by overload. Depending on the overload level, they disconnect
the motor from power supply immediately in the case of a short-circuit or they dis-
connect the motor if an overload has occurred for some time.
Conventional motor protection switches are
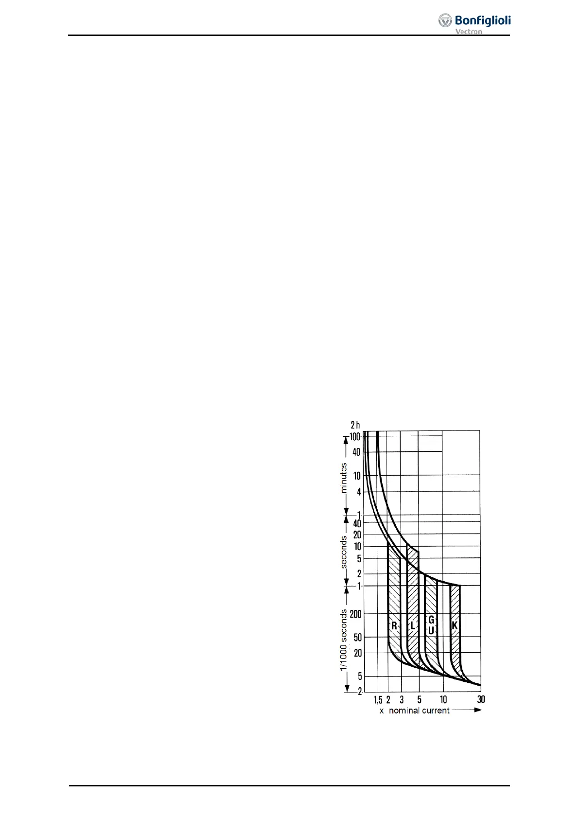
commercially available for various applica-
tions with different trigger characteristics (L,
G/U, R and K), as shown in the diagram on
the right. As frequency inverters in most
cases are used for supplying motors which
are classified as operating equip
ment with
very high starting currents, exclusively the
K characteristic was realized in this function.
Unlike the operation of a conventional motor
protection switch which disconnects the
equipment to be protected imme
diately if
the trigger threshold is reached, this func-
tion provides the possibility of issuing a
warning instead of disconnecting the equip-
ment immediately.
The rated current of the motor protection
switch refers to the rated motor current
stated via parameter Rated current 371
of
the corresponding data set.
The rated values of the frequency inverter
are to be considered accordingly when it
comes to dimensioning the application.
The function of the motor protection switch can be linked to different data sets. In
this way, it is possible to operate different motors via one frequency inverter. Thus,
each motor can be equipped with its own motor protection switch.
06/13 Operating Instructions ACU 245

Table of Contents

Related product manuals