EasyManua.ls Logo

Bosch SSB255 - Page 12

Bosch SSB255
68 pages
Print Icon
To Next Page IconTo Next Page
To Next Page IconTo Next Page
To Previous Page IconTo Previous Page
To Previous Page IconTo Previous Page
Loading...
6720818454 (2016/02) US SSB
12 | Product description
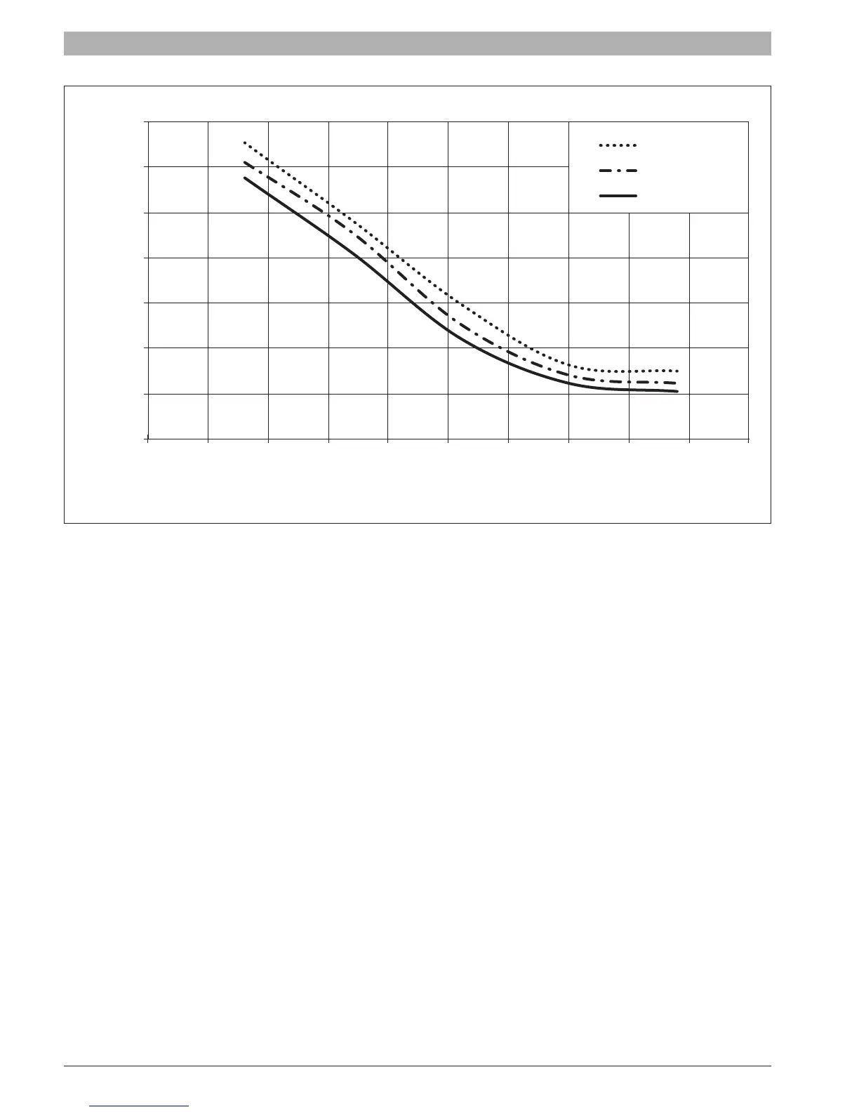
Fig. 8 Thermal Efciency Curves SSB512
Thermal Efficiency
Return Water Temperature (°F) @ 36 Degree Rise
86%
88%
90%
92%
94%
96%
98%
100%
70 80 90 100 110 120 130 140 150 160 170
100% input
30% input
20% input

Table of Contents

Other manuals for Bosch SSB255

Related product manuals